Крупнейшая бесплатная информационно-справочная система онлайн доступа к полному собранию технических нормативно-правовых актов РФ. Огромная база технических нормативов (более 150 тысяч документов) и полное собрание национальных стандартов, аутентичное официальной базе Госстандарта. GOSTRF.com - это более 1 Терабайта бесплатной технической информации для всех пользователей интернета. Все электронные копии представленных здесь документов могут распространяться без каких-либо ограничений. Поощряется распространение информации с этого сайта на любых других ресурсах. Каждый человек имеет право на неограниченный доступ к этим документам! Каждый человек имеет право на знание требований, изложенных в данных нормативно-правовых актах!

  


 

Государственное санитарно-эпидемиологическое нормирование
Российской Федерации

4.1. МЕТОДЫ КОНТРОЛЯ. ХИМИЧЕСКИЕ ФАКТОРЫ

Измерение концентраций кубозоля ярко-зеленого Ж методом тонкослойной хроматографии в воздухе рабочей зоны

МУК 4.1.237-96

Минздрав России

Москва 2000

1. Методические указания по измерению концентрации вредных веществ в воздухе рабочей зоны (выпуск 30) разработаны с целью обеспечения контроля соответствия фактических концентраций вредных веществ их предельно допустимым концентрациям (ПДК) и ориентировочно безопасным уровням воздействия (ОБУВ) - санитарно-гигиеническим нормативам и являются обязательными при осуществлении санитарного контроля.

2. Методические указания по измерению концентраций вредных веществ в воздухе рабочей зоны утверждены и. о. Председателя Госкомсанэпиднадзора России - заместителем Главного государственного санитарного врача Российской Федерации 8 июня 1996 г.

3. Введены впервые.

4. Включенные в данный выпуск 74 методики контроля вредных веществ в воздухе рабочей зоны разработаны и подготовлены в соответствии с требованиями ГОСТа 12.1.005-88 ССБТ "Воздух рабочей зоны. Общие санитарно-гигиенические требования", ГОСТа 12.1.016-79 ССБТ "Воздух рабочей зоны. Требования к методикам измерения концентраций вредных веществ" и ГОСТа Р 1.5-92 п. 7.3.

Методические указания одобрены на совместном заседании группы Главного эксперта Федеральной комиссии по санитарно-гигиеническому нормированию "Лабораторно-инструментальное дело и метрологическое обеспечение" и методбюро п/секции "Промышленно-санитарная химия" Проблемной комиссии "Научные основы гигиены труда и профпатологии".

Ответственные исполнители: Г. А. Дьякова, C. И. Муравьева

Исполнители: Г. А. Дьякова, Н. С. Горячев. Л. Г. Макеева, Г. В. Муравьева, Е. М. Малинина, Е. В. Грыжина, Е. Н. Грицун.

УТВЕРЖДЕНО

И. о. Председателя Госкомсанэпиднадзора

России - заместителем Главного

государственного санитарного врача

Российской Федерации

Г.Г. Онищенко

8 июня 1996 г.

МУК 4.1.237-96

Дата введения: с момента утверждения

4.1. МЕТОДЫ КОНТРОЛЯ. ХИМИЧЕСКИЕ ФАКТОРЫ

Измерение концентраций кубозоля ярко-зеленого Ж методом тонкослойной хроматографии в воздухе рабочей зоны

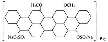
C36H18O10Br2S2Na2                                                                               М.м. 912,66

Кубозоль ярко-зеленый Ж (КЗЖ) - динатриевая соль дисернокислого эфира лейкосоединения 16, 17 - дибромдиметоксивиолантрон, порошок бордово-черного цвета, хорошо растворим в воде, 50 %-ном этиловом и метиловом спиртах, не растворим в органических растворителях, кислотах, щелочах.

В воздухе находится в виде аэрозоля.

Вызывает незначительные измерения со стороны крови, оказывает слабое действие на белково-образовательную функцию печени.

ПДК в воздухе - 3 мг/м3.

Характеристика метода

Методика основана на хроматографическом выделении КЗЖ в тонком слое сорбента с последующим проявлением хроматограммы в УФ-свете.

Отбор проб проводится с концентрированием на фильтр АФА-ВП-10.

Нижний предел измерения концентрации вещества в анализируемом объеме раствора - 5 мкг.

Нижний предел измерения вещества в воздухе - 1,25 мг/м3 (при отборе 20 л воздуха).

Диапазон измеряемых концентраций - от 1,25 до 5 мг/м3.

Измерению не мешает диметилсульфанилат натрия.

Суммарная погрешность измерения не превышает ± 20 %.

Время выполнения измерения, включая отбор проб, - 1,5-2 ч.

Приборы, аппаратура, посуда

Аспирационное устройство

 

Спектрофотометр СФ-46 или другой марки

 

Камера хроматографическая с притертой крышкой

ГОСТ 20565-75

Фильтродержатели

 

Фильтры АФА-ВП-10

 

Пластины хроматографические "Силуфол-254" размером 1 ´ 15 см

 

Осветитель ОЛД

 

Колбы мерные, вместимостью 25, 50, 100 мл

ГОСТ 1770-74

Пипетки, вместимостью 0,1; 0,2; 1,0; 5,0 мл

ГОСТ 20292-74

Пробирки

ГОСТ 10515-69

Цилиндры мерные

ГОСТ 1770-74

Реактивы, растворы, материалы

Краситель кубозоль "ярко-зеленый Ж", выпускная форма

 

Этиловый спирт, 50 %-ный

ГОСТ 5963-76

Н-бутиловый спирт, х. ч.

ГОСТ 6006-61

Ацетон, х. ч.

ГОСТ 2603-79

Аммиак, х. ч.

ГОСТ 3760-64

Подвижный растворитель: н-бутанол-ацетон-аммиак-вода (5:5 - 4:1)

 

Стандартный раствор КЗЖ № 1 с содержанием 1 мг/мл готовят путем растворения 0,1 г вещества в 50 %-ном этиловом спирте в объеме 100 мл. Раствор устойчив в течение 5 дней.

Стандартный раствор КЗЖ с содержанием 0,1 мг/мл готовят соответствующим разбавлением стандартного раствора № 1 50 %-ным этиловым спиртом. Раствор устойчив в течение 5 дней.

Стандартные растворы хранят в темном месте.

Отбор пробы воздуха

Воздух аспирируют со скоростью 5 л/мин через фильтр АФА-ВП-10, помещенный в фильтродержатель. Для 1/2 ПДК следует отобрать 20 л воздуха.

Срок хранения проб - 10 дней в эксикаторе.

Подготовка к измерению

Хроматографическую камеру заполняют системой подвижного растворителя - н-бутанол-ацетон-аммиак-вода (5:5 - 4:1). Объем подвижного растворителя должен быть таким, чтобы пластина была погружена в него не более, чем на 0,6-0,8 см над уровнем дна.

Проведение измерения

Фильтр с отобранной пробой промывают трижды по 5 мл 50 %-ным этиловым спиртом, упаривают, остаток растворяют в 0,5 мл 50 %-ного этилового спирта. Степень десорбции КЗЖ с фильтра - 96,4 %.

Пробу в количестве 0,1 мл наносят на хроматографическую пластину так, чтобы диаметр пятна не превышал 0,5 см. Одновременно на пластину наносят серию стандартных растворов с содержанием 5, 10, 30, 60, 100 мкг в 0,1 мл. Пластину помещают в хроматографическую камеру, содержащую подвижный растворитель. После того, как фронт растворителя поднимается на 10 мм от верхнего края, пластину вынимают и оставляют на воздухе до полного испарения растворителя. Открывают КЗЖ путем освещения пластины УФ-светом.

КЗЖ светится ярким желтым светом, при высыхании пятна становятся зелеными. Показатель Rf = 0,73.

Количественное содержание КЗЖ в пробе определяют путем измерения площади пятна стандарта. Площадь пятен измеряют планиметром или с помощью прозрачной бумаги, которую накладывают на миллиметровую бумагу и вычисляют площадь обведенного пятна.

Расчет концентрации

Концентрацию КЗЖ (С) в воздухе (мг/м3) вычисляют по формуле:

, где

а - содержание КЗЖ на пятне стандарта, мкг;

Sx - площадь пятна пробы, мм2;

SСТ - площадь пятна стандарта, мм2;

б - объем воздуха, взятого для анализа, мл;

в - общий объем раствора пробы, мл;

V - объем пробы воздуха, отобранного для анализа и приведенного к стандартным условиям, л (см. приложение 1).

Методические указания разработаны Харьковским НИИ ГТ и ПЗ.

Приложение 1

Приведение объема воздуха к стандартным условиям (температуре 20 °С и давление 760 мм рт. ст.)

Приведение объема воздуха к стандартным условиям проводят по формуле:

, где

Vt - объем воздуха, отобранного для анализа, л;

Р - барометрическое давление, мм рт. ст. (760 мм рт. ст. = 101,33 кПа);

t° - температура воздуха в месте отбора пробы, °С.

Для удобства расчета Vст следует пользоваться таблицей коэффициентов (приложение 2). Для приведения объема воздуха к температуре 20 °С и давлению 760 мм рт. ст. (101,33 кПа) надо умножить Vt на соответствующий коэффициент.

Приложение 2

Коэффициент К для приведения объема воздуха к стандартным условиям

Давление Р, кПа/мм рт. ст.

°С

730

734

738

742

746

750

754

758

760

764

-30

1,1582

1,1646

1,1709

1,1772

1,1836

1,1899

1,1963

1,2026

1,2058

1,2122

-26

1,1393

1,1456

1,1519

1,1581

1,1644

1,1705

1,1768

1,1831

1,1862

1,1925

-22

1,1212

1,1274

1,1336

1,1396

1,1458

1,1519

1,1581

1,1643

1,1673

1,1735

-18

1,1036

1,1097

1,1158

1,1218

1,1278

1,1338

1,1399

1,1400

1,1490

1,1551

-14

1,0866

1,0926

1,0986

1,1045

1,1105

1,1164

1,1224

1,1284

1,1313

1,1373

-10

1,0701

1,0760

1,0819

1,0877

1,0986

1,0994

1,1053

1,1112

1,1141

1,1200

-6

1,0540

1,0599

1,0657

1,0714

1,0772

1,0829

1,0887

1,0945

1,0974

1,1032

-2

1,0385

1,0442

1,0499

1,0556

1,0613

1,0669

1,0726

1,0784

1,0812

1,0869

0

1,0309

1,0366

1,0423

1,0477

1,0535

1,0591

1,0648

1,0705

1,0733

1,0789

+2

1,0234

1,0291

1,0347

1,0402

1,0459

1,0514

1,0571

1,0627

1,0655

1,0712

+6

1,0087

1,0143

1,0198

1,0253

1,0309

1,0363

1,0419

1,0475

1,0502

1,0557

+10

0,9944

0,9999

1,0054

1,0108

1,0162

1,0216

1,0272

1,0326

1,0353

1,0407

+14

0,9806

0,9860

0,9914

0,9967

1,0027

1,0074

1,0128

1,0183

1,0209

1,0263

+18

0,9671

0,9725

0,9778

0,9880

0,9884

0,9936

0,9989

1,0043

1,0069

1,0122

+20

0,9605

0,9658

0,9711

0,9783

0,9816

0,9868

0,9921

0,9974

1,0000

1,0053

+22

0,9539

0,9592

0,9645

0,9696

0,9749

0,9800

0,9853

0,9906

0,9932

0,9985

+24

0,9475

0,9527

0,9579

0,9631

0,9683

0,9735

0,9787

0,9839

0,9865

0,9917

+26

0,9412

0,9464

0,9516

0,9566

0,9618

0,9669

0,9721

0,9773

0,9799

0,9851

+28

0,9349

0,9401

0,9453

0,9503

0,9655

0,9605

0,9657

0,9708

0,9734

0,9785

+30

0,9288

0,9339

0,9891

0,9440

0,9432

0,9542

0,9594

0,9645

0,9670

0,9723

+34

0,9167

0,9218

0,9268

0,9318

0,9368

0,9418

0,9468

0,9519

0,9544

0,9595

+38

0,9049

0,9099

0,9149

0,9198

0,9248

0,9297

0,9347

0,9397

0,9421

0,9471

 

 




ГОСТЫ, СТРОИТЕЛЬНЫЕ и ТЕХНИЧЕСКИЕ НОРМАТИВЫ.
Некоммерческая онлайн система, содержащая все Российские Госты, национальные Стандарты и нормативы.
В Системе содержится более 150000 файлов нормативно-технической документации, действующей на территории РФ.
Система предназначена для широкого круга инженерно-технических специалистов.

Рейтинг@Mail.ru Яндекс цитирования

Copyright © www.gostrf.com, 2008 - 2026