Крупнейшая бесплатная информационно-справочная система онлайн доступа к полному собранию технических нормативно-правовых актов РФ. Огромная база технических нормативов (более 150 тысяч документов) и полное собрание национальных стандартов, аутентичное официальной базе Госстандарта. GOSTRF.com - это более 1 Терабайта бесплатной технической информации для всех пользователей интернета. Все электронные копии представленных здесь документов могут распространяться без каких-либо ограничений. Поощряется распространение информации с этого сайта на любых других ресурсах. Каждый человек имеет право на неограниченный доступ к этим документам! Каждый человек имеет право на знание требований, изложенных в данных нормативно-правовых актах!

  


 

МИНИСТЕРСТВО ТРАНСПОРТА РОССИЙСКОЙ ФЕДЕРАЦИИ
ГОСУДАРСТВЕННАЯ СЛУЖБА ДОРОЖНОГО ХОЗЯЙСТВА
(РОСАВТОДОР)

ЦЕНТР
ОРГАНИЗАЦИИ ТРУДА И ЭКОНОМИЧЕСКИХ
МЕТОДОВ УПРАВЛЕНИЯ
(ЦЕНТРОРГТРУД)

СБОРНИК КАРТ
ТРУДОВЫХ ПРОЦЕССОВ НА РЕМОНТ И
СОДЕРЖАНИЕ АВТОМОБИЛЬНЫХ ДОРОГ

(ВЫПУСК 3)

ВЯЗКА АРМАТУРНЫХ КАРКАСОВ ДЛЯ ДОРОЖНЫХ
СИГНАЛЬНЫХ (НАПРАВЛЯЮЩИХ) СТОЛБИКОВ

КТП-3.07.2001

Москва, 2001 г.

Карты трудовых процессов предназначены для совершенствования организации труда рабочих, занятых на ремонте и содержании автомобильных дорог.

Карты определяют прогрессивную технологию работ, рациональное использование рабочего времени, технологическую последовательность выполнения работ на основе передовых приемов и методов труда.

Карты могут быть использованы при разработке организационно-технологической документации при ремонте и содержании автомобильных дорог (ППР и другие), планировании работ, а также в учебных целях при подготовке высококвалифицированных рабочих.

Сборник карт трудовых процессов подготовлен инженерами А. И. Анашко, Е. В. Купцовой, Т. В. Страховой.

Карта трудового процесса

Вязка арматурных каркасов для дорожных сигнальных (направляющих) столбиков

Разработана ГП Центроргтруд Росавтодора

КТП-3.07.2001

(Е-20-2-64-1,2-89)

Взамен КТ-7.07.89

1. Область и эффективность применения карты

1.1. Карта предназначена для рациональной организации труда арматурщиков, занятых заготовкой и вязкой арматурных каркасов.

1.2. Показатели производительности труда:

№ п/п

Наименование показателей

Единица измерения

Величина показателей

по ЕНиР

по карте

 

Заготовка арматуры:

 

 

 

1.

Выработка на 1 чел.-день

шт

30

32

2.

Затраты труда на 1 каркас

чел.-час

0,27

0,25

 

Вязка арматурных каркасов при числе хомутов - 13:

 

 

 

1.

Выработка на 1 чел.-день

шт

35

38

2.

Затраты труда на вязку 1 каркаса

чел.-час

0,23

0,21

Примечание: В затраты труда по карте включено время на подготовительно заключительные работы - 5 % и отдых - 10 %.

Снижение затрат труда и повышение выработки на 7-9 % достигается в результате использования методов и приемов труда, рекомендуемых в карте.

2. Подготовка и условия выполнения процесса

2.1. Работы по заготовке арматуры выполняются на открытом воздухе, гнутье арматуры и вязка каркаса выполняется в летнее время под навесом, а в зимнее - в помещении.

2.2. Каркас изготовляется из 4-х стержней несущей арматуры ст А-1 Ø 8 мм, объединенных в каркас с помощью стержня длиной 9240 мм, изогнутого змейкой.

2.3. Заготовка арматуры производится из стали, поставляемой в бухтах, с размоткой бухт ручной лебедкой. Гнутье арматуры Ø 3 мм производится на ручном станке с помощью специального приспособления-шаблона.

2.4. Рабочие должны быть одеты в спецодежду и снабжены рукавицами.

2.5. К работе допускаются рабочие, прошедшие инструктаж по технике безопасности с учетом специфики работ по данному трудовому процессу.

3. Исполнители, предметы и орудия труда

3.1. Исполнители.

При заготовке арматуры:

1.         Арматурщик                                                        3 разряд (А1)                     1

2.         Арматурщик                                                        2 разряд (А2)                     1

При вязке арматурных каркасов:

3.         Арматурщик                                                        3 разряд 3)                     1

3.2. Машины, оборудование, инструменты, приспособления, инвентарь.

№ п/п

Наименование

Кол-во

1

2

3

1.         Лебедка ручная для выпрямления стали                                                     1

2.         Ножницы для резки стали                                                                            1

3.         Верстак                                                                                                           1

4.         Шаблон для гнутья арматуры                                                                       1

5.         Щитки стальные для очистки арматуры от ржавчины                             2

6.         Кусачки                                                                                                           2

3.3. Спецодежда и спецобувь.

1.         Комбинезон хлопчатобумажный                                                                 3

2.         Рукавицы комбинированные двупалые                                                       3 пары

4. Технология и организация процесса

4.1. Процесс при заготовке арматуры и изготовлении арматурного каркаса для дорожных сигнальных (направляющих) столбиков включает следующие операции:

- вытягивание стали, доставленной в кругах (бухтах);

- сортировка;

- выпрямление;

- резка рычажными ножницами;

- очистка от ржавчины;

- гнутье стержней и хомутов вручную;

- распределение готовых арматурных стержней на верстаке;

- вязка каркасов с откладыванием их в сторону.

4.2. График трудового процесса

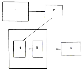
4.3. Схема организации рабочего места

1 - арматура в бухтах; 2 - лебедка для выпрямления стали; 3 - площадка с навесом; 4 - шаблон-установка для гнутья арматуры; 5 - верстак для сборки и вязки каркасов; 6 - склад готовой продукции.

5. Приемы труда

№ п/п

Наименование операций

Характеристика приемов труда

1

2

3

1.

Вытягивание, сортировка, выпрямление, резка и очистка от ржавчины

А1А2 - выбирают бухту соответствующего диаметра, устанавливают ее на вертушку, разматывают и рубят стержни заданной длины. При необходимости очищают от ржавчины.

2.

Гнутье стержней и хомутов вручную

А1А2 - производят гнутье стали Ø3 мм на вращающемся устройстве-шаблоне.

3.

Распределение арматурных стержней и вязка каркасов

А3 - распределяют арматурные стержни на верстаке с последующей сборкой и вязкой каркаса. Каркас укладывается горизонтально. Поскольку арматура, гнутая змейкой, обеспечивает дополнительную жесткость каркаса, вязку производят в шахматном порядке через три точки.

Содержание

 

 




ГОСТЫ, СТРОИТЕЛЬНЫЕ и ТЕХНИЧЕСКИЕ НОРМАТИВЫ.
Некоммерческая онлайн система, содержащая все Российские Госты, национальные Стандарты и нормативы.
В Системе содержится более 150000 файлов нормативно-технической документации, действующей на территории РФ.
Система предназначена для широкого круга инженерно-технических специалистов.

Рейтинг@Mail.ru Яндекс цитирования

Copyright © www.gostrf.com, 2008 - 2026