Крупнейшая бесплатная информационно-справочная система онлайн доступа к полному собранию технических нормативно-правовых актов РФ. Огромная база технических нормативов (более 150 тысяч документов) и полное собрание национальных стандартов, аутентичное официальной базе Госстандарта. GOSTRF.com - это более 1 Терабайта бесплатной технической информации для всех пользователей интернета. Все электронные копии представленных здесь документов могут распространяться без каких-либо ограничений. Поощряется распространение информации с этого сайта на любых других ресурсах. Каждый человек имеет право на неограниченный доступ к этим документам! Каждый человек имеет право на знание требований, изложенных в данных нормативно-правовых актах!

  


 

Приказ Минприроды России от 14 мая 2009 г. N 128

О внесении изменений в приказ Минприроды России от 30.09.2008 N 232

В соответствии со статьей 40 Закона Российской Федерации от 21 февраля 1992 г. N 2395-1 "О недрах" (Ведомости Съезда народных депутатов Российской Федерации и Верховного Совета Российской Федерации, 1992, N 16, ст. 834; Собрание законодательства Российской Федерации, 1995, N 10, ст. 823; 1999, N 7, ст. 879; 2000, N 2, ст. 141; 2001, N 21, ст. 2061; 2001, N 33, ст. 3429; 2002, N 22, ст. 2026; 2003, N 23, ст. 2174; 2004, N 27, ст. 2711; 2004, N 35, ст. 3607; 2006, N 17 (ч.1), ст. 1778; 2006, N 44, ст. 4538; 2007, N 27, ст. 3213; 2007, N 49, ст. 6056; 2008, N 18, ст. 1941; 2008, N 29 (ч. 1), ст. 3418; 2008, N 29 (ч. 1), ст. 3420; N 30 (ч. 2), ст. 3616; 2009, N 1, ст. 17), приказываю:

Внести в Методику расчета минимального (стартового) размера разового платежа за пользование недрами, утвержденную приказом Минприроды России от 30.09.2008 N 232 "Об утверждении Методики по определению стартового размера разового платежа за пользование недрами" (зарегистрирован Министерством юстиции Российской Федерации 22 декабря 2008 г., регистрационный N 12914; Бюллетень нормативных актов федеральных органов исполнительной власти, 2009, N 3), изменения согласно приложению к настоящему Приказу.

Министр                                                                                                        Ю.П. Трутнев

Зарегистрировано в Минюсте РФ 18 июня 2009 г.

Регистрационный N 14109

Приложение

к приказу Минприроды России

от 14 мая 2009 г. N 128

Изменения,
вносимые в Методику расчета минимального (стартового) размера разового платежа за пользование недрами, утвержденную приказом Минприроды России от 30.09.2008 N 232

1. Дополнить пункт 2 абзацем вторым следующего содержания:

"Принципы расчета минимального (стартового) размера разового платежа за пользование недрами, установленные настоящей Методикой, рекомендуются для использования органами государственной власти субъектов Российской Федерации при расчете минимального (стартового) размера разового платежа за пользование недрами при подготовке условий проведения аукционов на право пользования участками недр, содержащими месторождения общераспространенных полезных ископаемых".

2. В подпункте 2 пункта 4:

в абзаце первом:

после слов "не менее чем десять процентов" вставить слово "расчетной";

слово "проектную" исключить;

в абзаце четвертом слово "проектную" исключить;

в абзаце пятом перед словами "величина суммы налога на добычу полезных ископаемых" вставить слово "расчетная".

3. В пункте 5:

в подпункте 1:

в абзаце первом слова ", а сумма налога исчисляется как произведение соответствующей налоговой ставки и величины налоговой базы:" заменить на слова "в соответствии со статьей 338 Налогового кодекса Российской Федерации*(1):";

сноску "*(1)" изложить в следующей редакции

"Собрание законодательства Российской Федерации 2000, N 32, ст. 3340; 2001, N 1, ст. 18; N 23, ст. 2289; N 33, ст. 3413, 3429; 2002, N 1, ст. 4; N 22, ст. 2026; N 30, ст. 3021, 3027, 3033; 2003, N 1, ст. 2, 6; N 21, ст. 1958; N 28, ст. 2886; N 52, ст. 5030; 2004, N 27, ст. 2711, 2715; N 30, ст. 3088; N 31, ст. 3220, 3231; N 34, ст. 3517, 3518, 3520, 3522, 3525; N 35, ст. 3607; N 41, ст. 3994; 2005, N 1, ст. 30, 38; N 24, ст. 2312; N 27, ст. 2710, 2717; N 30, ст. 3104, 3118, 3128, 3129, 3130; N 42, ст. 5581; 2006, N 3, ст. 280; N 23, ст. 2382; N 31, ст. 3436, 3443, 3450, 3452; N 45, ст. 4627; N 50, ст. 5279, 5286; N 52, ст. 5498; 2007, N 1, ст. 20, 31, 39; N 13, ст. 1465; N 21, ст. 2462; N 22, ст. 2563, 2564; N 23, ст. 2691; N 31, ст. 3991, 4013; N 45; ст. 5416; N 46, ст. 5557; N 49, ст. 6045, 6071; N 50, ст. 6237, 6245; 2008, N 18, ст. 1942; N 30, ст. 3614".

в абзаце третьем:

после слов "коэффициент, характеризующий динамику мировых цен на добытые полезные ископаемые" сделать сноску "*(2)", изложив ее в следующей редакции:

"*(2) устанавливается для нефти в соответствии с пунктом 3 статьи 342 Налогового кодекса Российской Федерации";

слова "(без учета нулевой ставки налога, установленной в подпункте 8 пункта 1 статьи 342 Налогового кодекса Российской Федерации, и без учета коэффициента, установленного пунктом 4 статьи 342 Налогового кодекса Российской Федерации), за период 36 месяцев" заменить словами "(без учета условий применения налоговой ставки 0 процентов, установленных подпунктами 8 - 12 пункта 1 статьи 342 Налогового кодекса Российской Федерации и коэффициента, характеризующего степень выработанности запасов конкретного участка недр, установленного пунктом 4 статьи 342 Налогового кодекса Российской Федерации), за период 6 месяцев";

в абзаце пятом слово "проектная" исключить;

в подпункте 2:

в абзаце первом слова "2) для иных видов полезных ископаемых:" заменить словами "2) для полезных ископаемых, налоговая база при добыче которых определяется как их стоимость в соответствии со статьей 338 Налогового кодекса Российской Федерации:";

в абзаце пятом слова "установленных подпунктом 8" заменить словами "установленных подпунктами 8 - 12";

в абзаце шестом слова "за период 36 месяцев" заменить словами "за период 6 месяцев";

абзац седьмой изложить в следующей редакции:

"Средняя цена реализации добытого полезного ископаемого определяется на основании сведений о ценах производителей добытого полезного ископаемого за период 6 месяцев, предоставляемых два раза в год по состоянию на 30 июня и 31 декабря Федеральной службой государственной статистики по запросу Федерального агентства по недропользованию (его территориальных органов), либо определяются Федеральным агентством по недропользованию (его территориальными органами) с учетом данных отчетов о выполненных работах по государственным контрактам, заключенным ими в соответствии с Федеральным законом от 21.07.2005 N 94-ФЗ "О размещении заказов на поставки товаров, выполнение работ, оказание услуг для государственных и муниципальных нужд."*(3) (Собрание законодательства Российской Федерации 2005, N 30, ст. 3105; 2006, N 1, ст. 18, 2006, N 31, ст. 3441; 2007, N 17, ст. 1929; 2007, N 31, ст. 4015; 2007, N 46, ст. 5553; 2008, N 30, ст. 3616; 2008, N 49, ст. 5723; 2009, N 1, ст. 16; ст. 31; 2009, N 18, ст. 2148; 2009, N 19, ст. 2283)".

4. Пункт 6 изложить в следующей редакции:

"6. При расчете минимального стартового размера разового платежа за пользование недрами учитываются запасы полезных ископаемых всех категорий в соответствии с Государственным балансом запасов полезных ископаемых, а также прогнозные ресурсы полезных ископаемых, содержащиеся на участке недр. При этом перевод запасов и прогнозных ресурсов полезных ископаемых из низких в более высокие категории осуществляется с использованием формул, включающих в себя коэффициенты, характеризующие достоверность оценки запасов и прогнозных ресурсов полезных ископаемых.

В целях настоящей Методики перевод запасов полезных ископаемых из низших в более высокие категории (промышленные категории) и прогнозных ресурсов полезных ископаемых из низких в более высокие категории осуществляется по формулам:

1) извлекаемые запасы нефти, природного газа, газового конденсата:

, где:

 - поправочный коэффициент, учитывающий сроки проведения работ по геологическому изучению , необходимых для подтверждения и перевода запасов и ресурсов полезных ископаемых из низших в более высокие категории, t1 - принимается 5 лет; t2 - принимается 10 лет.

Е - коэффициент приведения планируемых денежных поступлений, равный ставке рефинансирования Центрального банка Российской Федерации на дату определения размера разового платежа (единиц).

А, В, С1, С2 - объем запасов соответствующих категорий.

С3, Д, Д1, Д2 - объем прогнозных ресурсов соответствующих категорий.

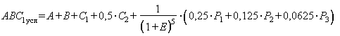
2) запасы твердых полезных ископаемых:

, где

 - поправочный коэффициент, учитывающий сроки проведения работ по геологическому изучению, необходимых для подтверждения и перевода запасов и ресурсов полезных ископаемых из низших в более высокие категории, равный пяти годам.

А, В, С1, С2 - объем запасов соответствующих категорий.

Р1, Р2, Р3 - объем прогнозных ресурсов соответствующих категорий.".

5. Пункт 7 изложить в следующей редакции:

"7. Среднегодовая мощность добывающей организации (среднегодовая добыча полезного ископаемого за срок разработки месторождения) Vср определяется Федеральным агентством по недропользованию, его территориальными органами*(4).

Для участков недр с учтенными Государственным балансом запасами полезных ископаемых промышленных категорий среднегодовая мощность устанавливается по материалам технико-экономических обоснований (далее - ТЭО) коэффициента извлечения нефти, газа, конденсата и попутных компонентов, для твердых полезных ископаемых - по материалам ТЭО кондиций, прошедших государственную экспертизу и утвержденных в установленном порядке Федеральным агентством по недропользованию, как отношение объема извлекаемых запасов к сроку разработки месторождения.

В случае отсутствия ТЭО кондиций для участков недр, содержащих запасы твердых полезных ископаемых, среднегодовая мощность определяется в зависимости от величины запасов полезных ископаемых категории АВС1усл, определенных в соответствии с пунктом 6 настоящей Методики по формуле:

, где

З - отношение запасов полезного ископаемого к содержанию полезного ископаемого в руде (тонн).

В случае отсутствия ТЭО коэффициента извлечения нефти для участков недр, содержащих извлекаемые запасы нефти, среднегодовая мощность определяется в процентном отношении от величины извлекаемых запасов, определенных в соответствии с пунктом 6 настоящей Методики в размере:

3,5% от величины извлекаемых запасов - для участков недр с извлекаемыми запасами более 30 млн. т;

5% от величины извлекаемых запасов - для участков недр с извлекаемыми запасами от 3 до 30 млн. т;

6,5% от величины извлекаемых запасов - для участков недр с извлекаемыми запасами до 3 млн. т.

В случае отсутствия ТЭО коэффициента извлечения газа для участков недр, содержащих запасы природного газа, среднегодовая мощность определяется в процентном от величины запасов, определенных в соответствии с пунктом 6 настоящей Методики в размере:

3% от величины извлекаемых запасов - для участков недр с извлекаемыми запасами более 500 млрд. м3;

5% от величины извлекаемых запасов - для участков недр с извлекаемыми запасами от 30 до 500 млрд. м3;

8% от величины извлекаемых запасов - для участков недр с извлекаемыми запасами до 30 млрд. м3.

В случае отсутствия ТЭО коэффициента извлечения газа для участков недр, содержащих запасы газового конденсата, среднегодовая мощность определяется в процентном отношении от величины запасов, определенных в соответствии с пунктом 6 настоящей Методики. Размер процентного отношения для газового конденсата принимается равным процентному отношению для газа.

Для участков недр, содержащих сверхвязкую нефть, соответствующая величина среднегодовой мощности умножается на 0,8.".

6. В пункте 8:

абзац восьмой изложить в следующей редакции:

"";

абзац двенадцатый изложить в следующей редакции:

, где";

абзац тринадцатый дополнить текстом следующего содержания:

"В случае глубины залегания от 6 000 м и более рассматриваемый коэффициент принимается равным 1."

дополнить абзацем четырнадцатым следующего содержания:

раз - поправочный коэффициент, учитывающий размерность месторождения полезного ископаемого, значения которого приведены в приложении 3 к настоящей Методике.".

7. Методику дополнить Приложением 3 следующего содержания:

"Приложение 3

к Методике расчета минимального

(стартового) размера разового платежа за

пользование участками недр

Значения коэффициента Краз

Месторождения*

Запасы

Краз

нефти извлекаемые, млн. т.

газа геологические, млрд. м3

Уникальные

Более 300

Более 500

2.5

Крупные

60-300

75-500

2.0

Средние

15-60

40-75

1.5

Мелкие

До 15

До 40

1.0

_____________________________

* Классификация месторождений по величине (объемам) запасов приведена в соответствии с постановлением Правительства Российской Федерации от 11.02.2005 N 69 "О государственной экспертизе запасов полезных ископаемых, геологической, экономической и экологической информации о предоставляемых в пользование участках недр, размере и порядке взимания платы за ее проведение" (Собрание законодательства Российской Федерации". 2005, N 8, ст. 651; 2006, N 32, ст. 3570; 2007, N 5, ст. 663; 2009, N 18 (2 ч.). ст. 2248).".

_____________________________

*(3) В случае применения настоящей Методики для расчета минимального (стартового) размера разового платежа за пользование недрами органами государственной власти субъектов Российской Федерации при подготовке условий проведения аукционов на право пользования участками недр, содержащими месторождения общераспространенных полезных ископаемых, средняя цена реализации добытого полезного ископаемого определяется на основании сведений о ценах производителей добытого полезного ископаемого, предоставленных Федеральной службой государственной статистики по запросу органа государственной власти соответствующего субъекта Российской Федерации, либо определяются с учетом данных отчетов о выполненных работах по государственным контрактам, заключенным им в соответствии с Федеральным законом от 21.07.2005 N 94-ФЗ "О размещении заказов на поставки товаров, выполнение работ, оказание услуг для государственных и муниципальных нужд".

*(4) В случае применения настоящей Методики для расчета минимального (стартового) размера разового платежа за пользование недрами органами государственной власти субъектов Российской Федерации при подготовке условий проведения аукционов на право пользования участками недр, содержащими месторождения общераспространенных полезных ископаемых среднегодовая мощность добывающей организации определяется органом государственной власти соответствующего субъекта Российской Федерации.

 

 




ГОСТЫ, СТРОИТЕЛЬНЫЕ и ТЕХНИЧЕСКИЕ НОРМАТИВЫ.
Некоммерческая онлайн система, содержащая все Российские Госты, национальные Стандарты и нормативы.
В Системе содержится более 150000 файлов нормативно-технической документации, действующей на территории РФ.
Система предназначена для широкого круга инженерно-технических специалистов.

Рейтинг@Mail.ru Яндекс цитирования

Copyright © www.gostrf.com, 2008 - 2026