Крупнейшая бесплатная информационно-справочная система онлайн доступа к полному собранию технических нормативно-правовых актов РФ. Огромная база технических нормативов (более 150 тысяч документов) и полное собрание национальных стандартов, аутентичное официальной базе Госстандарта. GOSTRF.com - это более 1 Терабайта бесплатной технической информации для всех пользователей интернета. Все электронные копии представленных здесь документов могут распространяться без каких-либо ограничений. Поощряется распространение информации с этого сайта на любых других ресурсах. Каждый человек имеет право на неограниченный доступ к этим документам! Каждый человек имеет право на знание требований, изложенных в данных нормативно-правовых актах!

  


 

ГОСТ Р 52977-2008

Информатизация здоровья. Состав данных о взаиморасчетах за пролеченных пациентов для электронного обмена этими данными. Общие требования

Обозначение:ГОСТ Р 52977-2008
Текущий статус документа: действующий
Название документа рус.:Информатизация здоровья. Состав данных о взаиморасчетах за пролеченных пациентов для электронного обмена этими данными. Общие требования
Название документа англ.:Health informatics. Structure of data about interconnections of the treated patients for the electronic exchange of these data. General requirements
Дата актуализации текста:01.12.2013
Дата издания:09.04.2009
Дата введения:30.04.2009
Дата последнего изменения:22.05.2013
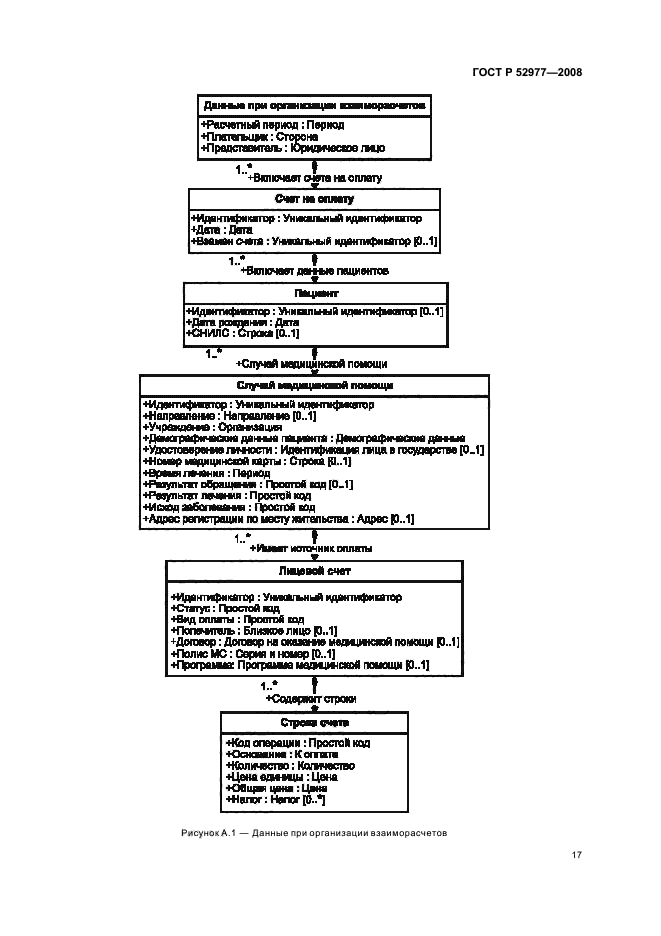
Область применения:Настоящий стандарт устанавливает требования к составу данных при организации взаиморасчетов между субъектами системы медицинского страхования для обеспечения электронного обмена при информационном взаимодействии автоматизированных информационных систем.
Настоящий стандарт распространяется на автоматизированные информационные системы, формирующие или использующие данные взаиморасчетов за пролеченных пациентов по программе медицинского страхования.
Понятие “электронный обмен“используется с целью распространения области применения стандарта только на данные взаиморасчетов за пролеченных пациентов по программе медицинского страхования, используемые при взаимодействии автоматизированных информационных систем
ГОСТ Р 52977-2008ГОСТ Р 52977-2008ГОСТ Р 52977-2008ГОСТ Р 52977-2008ГОСТ Р 52977-2008ГОСТ Р 52977-2008ГОСТ Р 52977-2008ГОСТ Р 52977-2008ГОСТ Р 52977-2008ГОСТ Р 52977-2008ГОСТ Р 52977-2008ГОСТ Р 52977-2008ГОСТ Р 52977-2008ГОСТ Р 52977-2008ГОСТ Р 52977-2008ГОСТ Р 52977-2008ГОСТ Р 52977-2008ГОСТ Р 52977-2008ГОСТ Р 52977-2008ГОСТ Р 52977-2008ГОСТ Р 52977-2008ГОСТ Р 52977-2008ГОСТ Р 52977-2008
 




ГОСТЫ, СТРОИТЕЛЬНЫЕ и ТЕХНИЧЕСКИЕ НОРМАТИВЫ.
Некоммерческая онлайн система, содержащая все Российские Госты, национальные Стандарты и нормативы.
В Системе содержится более 150000 файлов нормативно-технической документации, действующей на территории РФ.
Система предназначена для широкого круга инженерно-технических специалистов.

Рейтинг@Mail.ru Яндекс цитирования

Copyright © www.gostrf.com, 2008 - 2026