Крупнейшая бесплатная информационно-справочная система онлайн доступа к полному собранию технических нормативно-правовых актов РФ. Огромная база технических нормативов (более 150 тысяч документов) и полное собрание национальных стандартов, аутентичное официальной базе Госстандарта. GOSTRF.com - это более 1 Терабайта бесплатной технической информации для всех пользователей интернета. Все электронные копии представленных здесь документов могут распространяться без каких-либо ограничений. Поощряется распространение информации с этого сайта на любых других ресурсах. Каждый человек имеет право на неограниченный доступ к этим документам! Каждый человек имеет право на знание требований, изложенных в данных нормативно-правовых актах!

  


 

ГОСТ Р 53022.4-2008

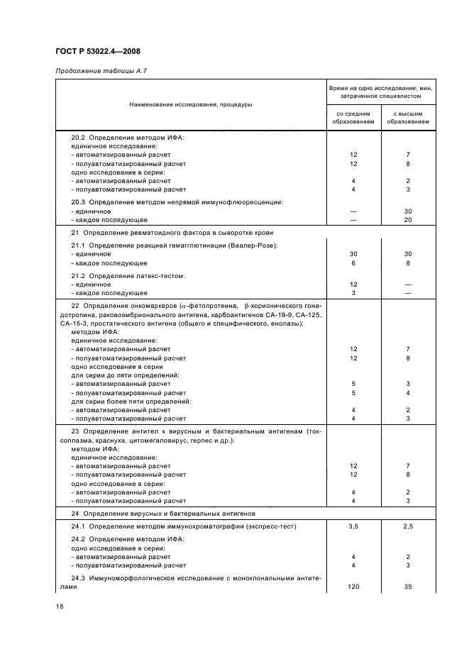
Технологии лабораторные клинические. Требования к качеству клинических лабораторных исследований. Часть 4. Правила разработки требований к своевременности предоставления лабораторной информации

Обозначение:ГОСТ Р 53022.4-2008
Текущий статус документа: действующий
Название документа рус.:Технологии лабораторные клинические. Требования к качеству клинических лабораторных исследований. Часть 4. Правила разработки требований к своевременности предоставления лабораторной информации
Название документа англ.:Medical laboratory technologies. Requirement of quality of clinical laboratory tests. Part 4. Rules for development of requirements to timeliness of laboratory information submitting
Дата актуализации текста:01.12.2013
Дата издания:18.08.2009
Дата введения:01.01.2010
Дата последнего изменения:22.05.2013
Область применения:Настоящий стандарт устанавливает единые правила разработки требований к срокам выполнения клинических лабораторных исследований в клинико-диагностических лабораториях и порядок их применения их организации лабораторного обеспечения деятельности медицинских организаций. Настоящий стандарт предназначен для применения всеми организациями, учреждениями и предприятиями, а также индивидуальными предпринимателями, деятельность которых связана с оказанием медицинской помощи
ГОСТ Р 53022.4-2008ГОСТ Р 53022.4-2008ГОСТ Р 53022.4-2008ГОСТ Р 53022.4-2008ГОСТ Р 53022.4-2008ГОСТ Р 53022.4-2008ГОСТ Р 53022.4-2008ГОСТ Р 53022.4-2008ГОСТ Р 53022.4-2008ГОСТ Р 53022.4-2008ГОСТ Р 53022.4-2008ГОСТ Р 53022.4-2008ГОСТ Р 53022.4-2008ГОСТ Р 53022.4-2008ГОСТ Р 53022.4-2008ГОСТ Р 53022.4-2008ГОСТ Р 53022.4-2008ГОСТ Р 53022.4-2008ГОСТ Р 53022.4-2008ГОСТ Р 53022.4-2008ГОСТ Р 53022.4-2008ГОСТ Р 53022.4-2008ГОСТ Р 53022.4-2008ГОСТ Р 53022.4-2008ГОСТ Р 53022.4-2008ГОСТ Р 53022.4-2008ГОСТ Р 53022.4-2008ГОСТ Р 53022.4-2008ГОСТ Р 53022.4-2008ГОСТ Р 53022.4-2008ГОСТ Р 53022.4-2008
 




ГОСТЫ, СТРОИТЕЛЬНЫЕ и ТЕХНИЧЕСКИЕ НОРМАТИВЫ.
Некоммерческая онлайн система, содержащая все Российские Госты, национальные Стандарты и нормативы.
В Системе содержится более 150000 файлов нормативно-технической документации, действующей на территории РФ.
Система предназначена для широкого круга инженерно-технических специалистов.

Рейтинг@Mail.ru Яндекс цитирования

Copyright © www.gostrf.com, 2008 - 2026