Крупнейшая бесплатная информационно-справочная система онлайн доступа к полному собранию технических нормативно-правовых актов РФ. Огромная база технических нормативов (более 150 тысяч документов) и полное собрание национальных стандартов, аутентичное официальной базе Госстандарта. GOSTRF.com - это более 1 Терабайта бесплатной технической информации для всех пользователей интернета. Все электронные копии представленных здесь документов могут распространяться без каких-либо ограничений. Поощряется распространение информации с этого сайта на любых других ресурсах. Каждый человек имеет право на неограниченный доступ к этим документам! Каждый человек имеет право на знание требований, изложенных в данных нормативно-правовых актах!

  


 

ГОСТ Р 53332-2009

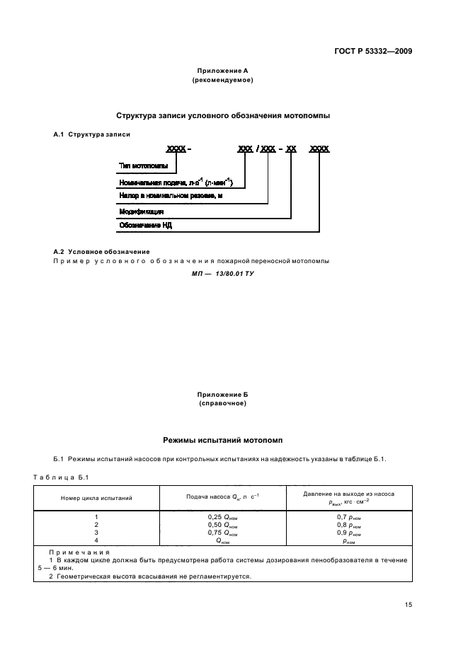
Техника пожарная. Мотопомпы пожарные. Основные параметры. Общие технические требования. Методы испытаний

Обозначение:ГОСТ Р 53332-2009
Текущий статус документа: действующий
Название документа рус.:Техника пожарная. Мотопомпы пожарные. Основные параметры. Общие технические требования. Методы испытаний
Название документа англ.:Fire equipment. Fire motor pumps. Main parameters. General technical requirements. Methods of testing
Дата актуализации текста:01.12.2013
Дата издания:27.07.2009
Дата введения:30.04.2009
Дата последнего изменения:20.06.2013
Область применения:Настоящий стандарт распространяется на пожарные мотопомпы, которые предназначены для подачи воды и водных растворов пенообразователей температурой до 30 град. C с водородным показателем pH от 7 до 10,5, плотностью до 1100 кг.м в ст. минус 3 и массовой концентрацией твердых частиц до 0,5 % при их максимальном размере 3 мм при тушении пожаров
ГОСТ Р 53332-2009ГОСТ Р 53332-2009ГОСТ Р 53332-2009ГОСТ Р 53332-2009ГОСТ Р 53332-2009ГОСТ Р 53332-2009ГОСТ Р 53332-2009ГОСТ Р 53332-2009ГОСТ Р 53332-2009ГОСТ Р 53332-2009ГОСТ Р 53332-2009ГОСТ Р 53332-2009ГОСТ Р 53332-2009ГОСТ Р 53332-2009ГОСТ Р 53332-2009ГОСТ Р 53332-2009ГОСТ Р 53332-2009ГОСТ Р 53332-2009ГОСТ Р 53332-2009
 




ГОСТЫ, СТРОИТЕЛЬНЫЕ и ТЕХНИЧЕСКИЕ НОРМАТИВЫ.
Некоммерческая онлайн система, содержащая все Российские Госты, национальные Стандарты и нормативы.
В Системе содержится более 150000 файлов нормативно-технической документации, действующей на территории РФ.
Система предназначена для широкого круга инженерно-технических специалистов.

Рейтинг@Mail.ru Яндекс цитирования

Copyright © www.gostrf.com, 2008 - 2026