Крупнейшая бесплатная информационно-справочная система онлайн доступа к полному собранию технических нормативно-правовых актов РФ. Огромная база технических нормативов (более 150 тысяч документов) и полное собрание национальных стандартов, аутентичное официальной базе Госстандарта. GOSTRF.com - это более 1 Терабайта бесплатной технической информации для всех пользователей интернета. Все электронные копии представленных здесь документов могут распространяться без каких-либо ограничений. Поощряется распространение информации с этого сайта на любых других ресурсах. Каждый человек имеет право на неограниченный доступ к этим документам! Каждый человек имеет право на знание требований, изложенных в данных нормативно-правовых актах!

  


 

ГОСТ Р 52980-2008

Системы промышленной автоматизации и их интеграция. Системы программируемые электронные железнодорожного применения. Требования к программному обеспечению

Обозначение:ГОСТ Р 52980-2008
Текущий статус документа: действующий
Название документа рус.:Системы промышленной автоматизации и их интеграция. Системы программируемые электронные железнодорожного применения. Требования к программному обеспечению
Название документа англ.:Functional safety of electrical, electronic, programmable electronic safety-related systems applications for Railways. Software requirements
Дата актуализации текста:01.12.2013
Дата издания:14.09.2009
Дата введения:30.04.2009
Дата последнего изменения:22.05.2013
Область применения:Настоящий стандарт устанавливает требования к программному обеспечению устройств и систем, связанных с безопасностью на железнодорожном транспорте, в том числе, используемому для разработки систем, связанных с безопасностью.
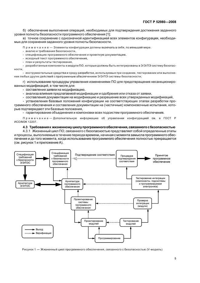
Настоящий стандарт устанавливает требования для этапов жизненного цикла обеспечения безопасности и деятельности, которая должна проводиться при проектировании и разработке программного обеспечения, обеспечивающего безопасность
ГОСТ Р 52980-2008ГОСТ Р 52980-2008ГОСТ Р 52980-2008ГОСТ Р 52980-2008ГОСТ Р 52980-2008ГОСТ Р 52980-2008ГОСТ Р 52980-2008ГОСТ Р 52980-2008ГОСТ Р 52980-2008ГОСТ Р 52980-2008ГОСТ Р 52980-2008ГОСТ Р 52980-2008ГОСТ Р 52980-2008ГОСТ Р 52980-2008ГОСТ Р 52980-2008ГОСТ Р 52980-2008ГОСТ Р 52980-2008ГОСТ Р 52980-2008ГОСТ Р 52980-2008ГОСТ Р 52980-2008ГОСТ Р 52980-2008ГОСТ Р 52980-2008ГОСТ Р 52980-2008
 




ГОСТЫ, СТРОИТЕЛЬНЫЕ и ТЕХНИЧЕСКИЕ НОРМАТИВЫ.
Некоммерческая онлайн система, содержащая все Российские Госты, национальные Стандарты и нормативы.
В Системе содержится более 150000 файлов нормативно-технической документации, действующей на территории РФ.
Система предназначена для широкого круга инженерно-технических специалистов.

Рейтинг@Mail.ru Яндекс цитирования

Copyright © www.gostrf.com, 2008 - 2026