Крупнейшая бесплатная информационно-справочная система онлайн доступа к полному собранию технических нормативно-правовых актов РФ. Огромная база технических нормативов (более 150 тысяч документов) и полное собрание национальных стандартов, аутентичное официальной базе Госстандарта. GOSTRF.com - это более 1 Терабайта бесплатной технической информации для всех пользователей интернета. Все электронные копии представленных здесь документов могут распространяться без каких-либо ограничений. Поощряется распространение информации с этого сайта на любых других ресурсах. Каждый человек имеет право на неограниченный доступ к этим документам! Каждый человек имеет право на знание требований, изложенных в данных нормативно-правовых актах!

  


 

ГОСТ Р 53548-2009

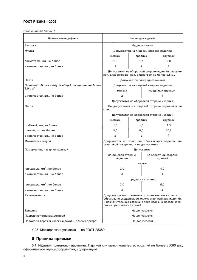
Посуда майоликовая. Технические условия

Обозначение:ГОСТ Р 53548-2009
Текущий статус документа: действующий
Название документа рус.:Посуда майоликовая. Технические условия
Название документа англ.:Majolica ware. General specifications
Дата актуализации текста:01.12.2013
Дата издания:03.06.2010
Дата введения:01.01.2011
Дата последнего изменения:20.06.2013
Область применения:Настоящий стандарт распространяется на майоликовые посуду и изделия хозяйственного назначения, изготавливаемые из масс на основе беложгущихся и цветных глин, и устанавливает общие требования к продукции
Список изменений:№0 от 13.07.2011 (рег. 13.07.2011) «Дата введения перенесена»
Приложение №1:Поправка к ГОСТ Р 53548-2009
ГОСТ Р 53548-2009ГОСТ Р 53548-2009ГОСТ Р 53548-2009ГОСТ Р 53548-2009ГОСТ Р 53548-2009ГОСТ Р 53548-2009ГОСТ Р 53548-2009ГОСТ Р 53548-2009ГОСТ Р 53548-2009ГОСТ Р 53548-2009ГОСТ Р 53548-2009ГОСТ Р 53548-2009ГОСТ Р 53548-2009

Поправка к ГОСТ Р 53548-2009

Обозначение:Поправка к ГОСТ Р 53548-2009
Дата введения:13.07.2011


Поправка к ГОСТ Р 53548-2009
 




ГОСТЫ, СТРОИТЕЛЬНЫЕ и ТЕХНИЧЕСКИЕ НОРМАТИВЫ.
Некоммерческая онлайн система, содержащая все Российские Госты, национальные Стандарты и нормативы.
В Системе содержится более 150000 файлов нормативно-технической документации, действующей на территории РФ.
Система предназначена для широкого круга инженерно-технических специалистов.

Рейтинг@Mail.ru Яндекс цитирования

Copyright © www.gostrf.com, 2008 - 2026