Крупнейшая бесплатная информационно-справочная система онлайн доступа к полному собранию технических нормативно-правовых актов РФ. Огромная база технических нормативов (более 150 тысяч документов) и полное собрание национальных стандартов, аутентичное официальной базе Госстандарта. GOSTRF.com - это более 1 Терабайта бесплатной технической информации для всех пользователей интернета. Все электронные копии представленных здесь документов могут распространяться без каких-либо ограничений. Поощряется распространение информации с этого сайта на любых других ресурсах. Каждый человек имеет право на неограниченный доступ к этим документам! Каждый человек имеет право на знание требований, изложенных в данных нормативно-правовых актах!

  


 

ГОСТ Р 53670-2009

Мясо индеек (тушки и их части). Торговые описания

Обозначение:ГОСТ Р 53670-2009
Текущий статус документа: действующий
Название документа рус.:Мясо индеек (тушки и их части). Торговые описания
Название документа англ.:Turkey meat (carcases and parts). Trade description
Дата актуализации текста:01.12.2013
Дата издания:02.07.2010
Дата введения:01.01.2011
Дата последнего изменения:22.05.2013
Дата окончания срока действия:01.07.2015
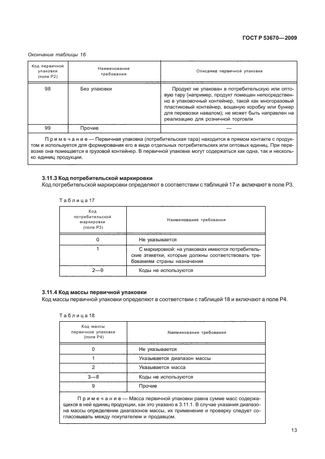
Область применения:Настоящий стандарт распространяется на торговые описания мяса индеек (Meleagris gallopavo) – потрошеных тушек и их частей (тушек/частей).
Стандарт устанавливает коды для обозначения требований покупателя к указанному продукту, а также к таре и упаковке в пределах торговых описаний настоящего стандарта.
Стандарт не распространяется на мясо индеек с добавленными ингредиентами
Список изменений:№0 от 01.07.2015 (рег. 15.11.2012) «Текстовое изменение; Изменено заглавие»
ГОСТ Р 53670-2009ГОСТ Р 53670-2009ГОСТ Р 53670-2009ГОСТ Р 53670-2009ГОСТ Р 53670-2009ГОСТ Р 53670-2009ГОСТ Р 53670-2009ГОСТ Р 53670-2009ГОСТ Р 53670-2009ГОСТ Р 53670-2009ГОСТ Р 53670-2009ГОСТ Р 53670-2009ГОСТ Р 53670-2009ГОСТ Р 53670-2009ГОСТ Р 53670-2009ГОСТ Р 53670-2009ГОСТ Р 53670-2009ГОСТ Р 53670-2009ГОСТ Р 53670-2009ГОСТ Р 53670-2009ГОСТ Р 53670-2009ГОСТ Р 53670-2009ГОСТ Р 53670-2009ГОСТ Р 53670-2009ГОСТ Р 53670-2009ГОСТ Р 53670-2009ГОСТ Р 53670-2009ГОСТ Р 53670-2009ГОСТ Р 53670-2009ГОСТ Р 53670-2009ГОСТ Р 53670-2009ГОСТ Р 53670-2009ГОСТ Р 53670-2009ГОСТ Р 53670-2009ГОСТ Р 53670-2009ГОСТ Р 53670-2009ГОСТ Р 53670-2009ГОСТ Р 53670-2009ГОСТ Р 53670-2009ГОСТ Р 53670-2009ГОСТ Р 53670-2009
 




ГОСТЫ, СТРОИТЕЛЬНЫЕ и ТЕХНИЧЕСКИЕ НОРМАТИВЫ.
Некоммерческая онлайн система, содержащая все Российские Госты, национальные Стандарты и нормативы.
В Системе содержится более 150000 файлов нормативно-технической документации, действующей на территории РФ.
Система предназначена для широкого круга инженерно-технических специалистов.

Рейтинг@Mail.ru Яндекс цитирования

Copyright © www.gostrf.com, 2008 - 2026