Крупнейшая бесплатная информационно-справочная система онлайн доступа к полному собранию технических нормативно-правовых актов РФ. Огромная база технических нормативов (более 150 тысяч документов) и полное собрание национальных стандартов, аутентичное официальной базе Госстандарта. GOSTRF.com - это более 1 Терабайта бесплатной технической информации для всех пользователей интернета. Все электронные копии представленных здесь документов могут распространяться без каких-либо ограничений. Поощряется распространение информации с этого сайта на любых других ресурсах. Каждый человек имеет право на неограниченный доступ к этим документам! Каждый человек имеет право на знание требований, изложенных в данных нормативно-правовых актах!

  


 

ГОСТ Р 53879-2010

Лампы со встроенными пускорегулирующими аппаратами для общего освещения. Эксплуатационные требования

Обозначение:ГОСТ Р 53879-2010
Текущий статус документа: действующий
Название документа рус.:Лампы со встроенными пускорегулирующими аппаратами для общего освещения. Эксплуатационные требования
Название документа англ.:Self-ballasted lamps for general lighting services. Performance requirements
Дата актуализации текста:01.12.2013
Дата издания:03.08.2011
Дата введения:30.06.2011
Дата последнего изменения:22.05.2013
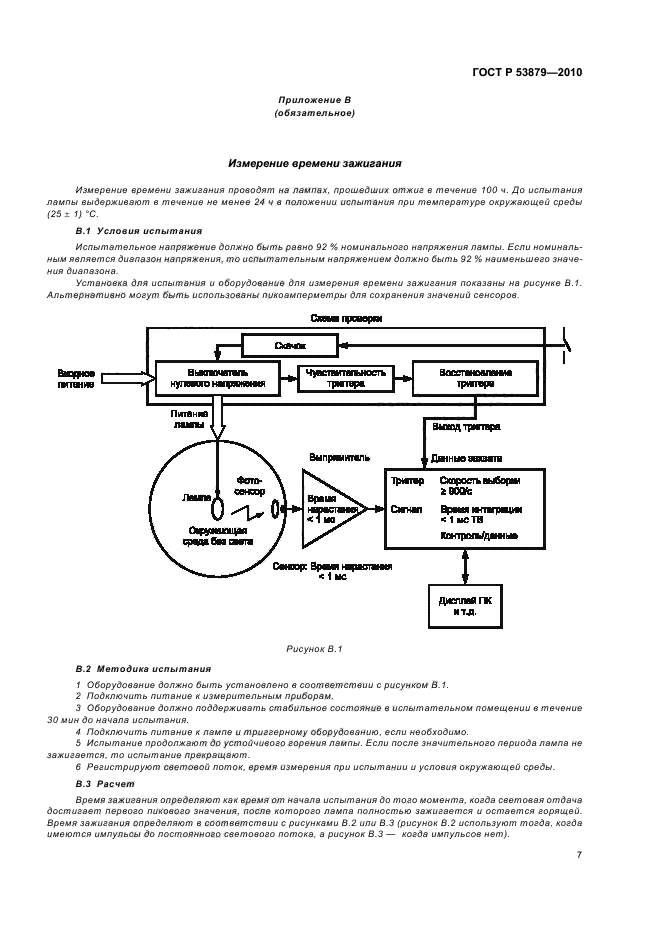
Область применения:Настоящий стандарт распространяется на трубчатые люминесцентные лампы со встроенным пускорегулирующим аппаратом и другие разрядные лампы с встроенными средствами для контроля зажигания и стабильной работы, предназначенные для бытового и аналогичного общего освещения, и устанавливает эксплуатационные требования, методы и условия испытаний.
Настоящий стандарт применим к лампам со встроенным пускорегулирующим аппаратом всех напряжений и мощностей независимо от типа цоколя
ГОСТ Р 53879-2010ГОСТ Р 53879-2010ГОСТ Р 53879-2010ГОСТ Р 53879-2010ГОСТ Р 53879-2010ГОСТ Р 53879-2010ГОСТ Р 53879-2010ГОСТ Р 53879-2010ГОСТ Р 53879-2010ГОСТ Р 53879-2010ГОСТ Р 53879-2010ГОСТ Р 53879-2010ГОСТ Р 53879-2010ГОСТ Р 53879-2010ГОСТ Р 53879-2010ГОСТ Р 53879-2010ГОСТ Р 53879-2010ГОСТ Р 53879-2010ГОСТ Р 53879-2010ГОСТ Р 53879-2010
 




ГОСТЫ, СТРОИТЕЛЬНЫЕ и ТЕХНИЧЕСКИЕ НОРМАТИВЫ.
Некоммерческая онлайн система, содержащая все Российские Госты, национальные Стандарты и нормативы.
В Системе содержится более 150000 файлов нормативно-технической документации, действующей на территории РФ.
Система предназначена для широкого круга инженерно-технических специалистов.

Рейтинг@Mail.ru Яндекс цитирования

Copyright © www.gostrf.com, 2008 - 2026