Крупнейшая бесплатная информационно-справочная система онлайн доступа к полному собранию технических нормативно-правовых актов РФ. Огромная база технических нормативов (более 150 тысяч документов) и полное собрание национальных стандартов, аутентичное официальной базе Госстандарта. GOSTRF.com - это более 1 Терабайта бесплатной технической информации для всех пользователей интернета. Все электронные копии представленных здесь документов могут распространяться без каких-либо ограничений. Поощряется распространение информации с этого сайта на любых других ресурсах. Каждый человек имеет право на неограниченный доступ к этим документам! Каждый человек имеет право на знание требований, изложенных в данных нормативно-правовых актах!

  


 

ГОСТ Р 55251-2012

Воздушный транспорт. Контроль автоматизированный технического состояния изделий авиационной техники. Информационно-аналитическая система мониторинга летной годности воздушных судов. Пользовательский модуль «Изготовитель». Общие требования

Обозначение:ГОСТ Р 55251-2012
Текущий статус документа: действующий
Название документа рус.:Воздушный транспорт. Контроль автоматизированный технического состояния изделий авиационной техники. Информационно-аналитическая система мониторинга летной годности воздушных судов. Пользовательский модуль «Изготовитель». Общие требования
Название документа англ.:Air transport. Automatic control of technical condition of aircraft products. Information and analytical system for aircraft airworthiness monitoring. The «Manufacturer» user module. General requirenents
Дата актуализации текста:01.12.2013
Дата издания:24.09.2013
Дата введения:01.07.2013
Дата последнего изменения:22.11.2013
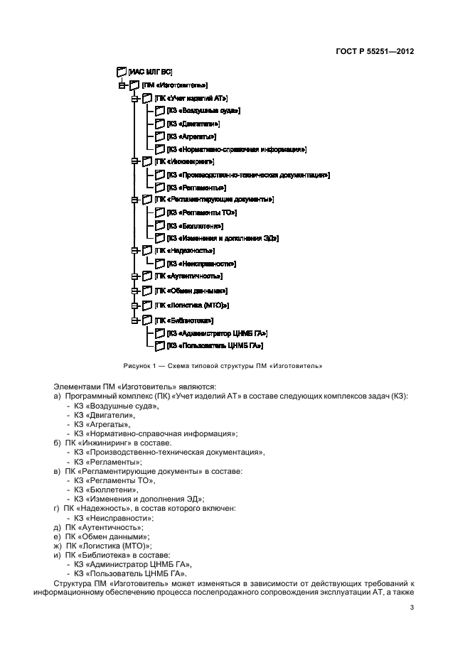
Область применения:Настоящий стандарт устанавливает общие требования, регламентирующие разработку, сопровождение и эксплуатацию Пользовательского модуля (ПМ) «Изготовитель» Информационно-аналитической системы мониторинга летной годности воздушных судов (ИАС МЛГ ВС).
Требования настоящего стандарта направлены на информационное-обеспечение послепродажного сопровождения эксплуатации АТ предприятиями изготовителями АТ. Эти требования могут применяться при разработке новых информационных систем, а также при модификациях существующих информационных систем в предприятиях-изготовителях авиационной техники (АТ)
ГОСТ Р 55251-2012ГОСТ Р 55251-2012ГОСТ Р 55251-2012ГОСТ Р 55251-2012ГОСТ Р 55251-2012ГОСТ Р 55251-2012ГОСТ Р 55251-2012ГОСТ Р 55251-2012ГОСТ Р 55251-2012ГОСТ Р 55251-2012ГОСТ Р 55251-2012ГОСТ Р 55251-2012
 




ГОСТЫ, СТРОИТЕЛЬНЫЕ и ТЕХНИЧЕСКИЕ НОРМАТИВЫ.
Некоммерческая онлайн система, содержащая все Российские Госты, национальные Стандарты и нормативы.
В Системе содержится более 150000 файлов нормативно-технической документации, действующей на территории РФ.
Система предназначена для широкого круга инженерно-технических специалистов.

Рейтинг@Mail.ru Яндекс цитирования

Copyright © www.gostrf.com, 2008 - 2026