Крупнейшая бесплатная информационно-справочная система онлайн доступа к полному собранию технических нормативно-правовых актов РФ. Огромная база технических нормативов (более 150 тысяч документов) и полное собрание национальных стандартов, аутентичное официальной базе Госстандарта. GOSTRF.com - это более 1 Терабайта бесплатной технической информации для всех пользователей интернета. Все электронные копии представленных здесь документов могут распространяться без каких-либо ограничений. Поощряется распространение информации с этого сайта на любых других ресурсах. Каждый человек имеет право на неограниченный доступ к этим документам! Каждый человек имеет право на знание требований, изложенных в данных нормативно-правовых актах!

  


 

ИНФОРМАЦИОННЫЙ ЦЕНТР ПО АВТОМОБИЛЬНЫМ ДОРОГАМ

Информавтодор

АВТОМОБИЛЬНЫЕ ДОРОГИ

Полимерно-битумные вяжущие материалы на основе СБС
для дорожного строительства

Обзорная информация

Выпуск 4 - 2002

В данной обзорной информации обоснованы необходимость и целесообразность применения полимерно-битумных вяжущих (ПБВ) для дорожного строительства; приведены экспериментальные данные и практические рекомендации по подбору и корректировке состава ПБВ в производственных условиях; содержатся сведения о влиянии марки исходного битума, типа его структуры, качества и количества полимера и пластификатора, режимов приготовления и хранения на свойства ПБВ, а также дан список литературы для получения дополнительной информации по рассматриваемому вопросу.

Обзор подготовили кандидаты техн. Наук Л.М. Гохман, Е.М. Гурарий, А Р. Давыдова, инж. К.И. Давыдова (Союздорнии.)

СОДЕРЖАНИЕ

1. ВВЕДЕНИЕ

2. ОБОСНОВАНИЕ НЕОБХОДИМОСТИ ПРИМЕНЕНИЯ ПБВ И ТРЕБОВАНИЯ К НИМ

3. ОБОСНОВАНИЕ ВЫБОРА КОМПОНЕНТОВ ДЛЯ ПРИГОТОВЛЕНИЯ ПБВ

4. ВЛИЯНИЕ СОДЕРЖАНИЯ ПОЛИМЕРА, ПЛАСТИФИКАТОРА И МАРКИ ИСХОДНОГО БИТУМА НА СВОЙСТВА ПБВ

5. ВЛИЯНИЕ СТРУКТУРНОГО ТИПА БИТУМА НА ФИЗИКО-МЕХАНИЧЕСКИЕ СВОЙСТВА ПБВ

6. ВЛИЯНИЕ КАЧЕСТВА БЛОКСОПОЛИМЕРОВ ТИПА СБС НА СВОЙСТВА ПБВ

7. ИССЛЕДОВАНИЕ СВОЙСТВ ПБВ БЕЗ ПЛАСТИФИКАТОРА

8. ИССЛЕДОВАНИЕ СВОЙСТВ ПБВ С ИСПОЛЬЗОВАНИЕМ В КАЧЕСТВЕ ПЛАСТИФИКАТОРА ГУДРОНА

9. СОПОСТАВЛЕНИЕ СТАНДАРТНЫХ ПОКАЗАТЕЛЕЙ СВОЙСТВ БИТУМОВ И ПБВ

10. ВЛИЯНИЕ ТЕХНОЛОГИЧЕСКОГО РЕЖИМА ПРИГОТОВЛЕНИЯ И ХРАНЕНИЯ ПБВ И РАСТВОРОВ ПОЛИМЕРА НА ИХ СВОЙСТВА

11. ИЗУЧЕНИЕ ОПЫТА ПРИМЕНЕНИЯ ПБВ

12. СОПОСТАВЛЕНИЕ ТРЕБОВАНИЙ К ПБВ В РОССИИ И ДРУГИХ СТРАНАХ

ЗАКЛЮЧЕНИЕ

СПИСОК ЛИТЕРАТУРЫ ДЛЯ ПОЛУЧЕНИЯ ДОПОЛНИТЕЛЬНОЙ ИНФОРМАЦИИ ПО РАССМАТРИВАЕМОМУ ВОПРОСУ

 

1. ВВЕДЕНИЕ

Одна из основных причин преждевременного разрушения дорожных покрытий заключается в качестве дорожных битумов. Битумы не обладают требуемыми адгезионными свойствами, так как склеивают только минеральные частицы основной породы, и, кроме того, становятся хрупкими при наступлении зимы практически на всей территории России. Это предполагает образование трещин на покрытиях, которые ввиду малой прочности асфальтобетона быстро превращаются в выбоины. В общей доле деформаций, которые претерпевает битумная пленка в результате движений автомобилей по покрытию или под действием температурных напряжений, превалирует пластическая, т.е. идет накопление дефектов.

В соответствии с технической политикой Росавтодора Министерства транспорта Российской Федерации, начиная с 1995 г., при устройстве верхних слоев дорожных покрытий и поверхностных обработок широко применяются полимерно-битумные вяжущие (ПБВ) на основе блоксополимеров типа СБС. В 1998 г. Росавтодором утвержден ОСТ 218.010-98 «Вяжущие полимерно-битумные дорожные на основе блоксополимеров типа СБС. Технические условия». В 2001 г. во исполнение «Программы совершенствования нормативной базы в дорожном строительстве» разработан проект ГОСТ Р «Вяжущие полимерно-битумные дорожные на основе блоксополимеров типа стирол-бутадиен-стирол. Технические условия» и проходит стадию утверждения в Госстандарте РФ.

Предлагаемые в данной работе комплексные органические вяжущие, в том числе ПБВ, лишены всех указанных недостатков и в зависимости от соотношения компонентов обеспечивают любые требуемые параметры для всех регионов России как для устройства покрытий, так и подгрунтовок.

2. ОБОСНОВАНИЕ НЕОБХОДИМОСТИ ПРИМЕНЕНИЯ ПБВ И ТРЕБОВАНИЯ К НИМ

Одним из основных способов повышения сроков службы асфальтобетонных покрытий в силу физической природы и структурных особенностей асфальтобетона является изменение структуры и свойств органических вяжущих материалов, используемых для его приготовления.

Повсеместно применяемые органические вяжущие - дорожные битумы по ГОСТ 22245-90, - по мнению авторов обзорной информации, не отвечают современным требованиям дорожного строительства в России по следующим причинам:

- недостаточно трещиностойки в условиях России, так как более 95% ее территории характеризуются температурой наиболее холодных суток ниже минус 25°С, 65% территории - ниже минус 35°С и 35% территории - ниже минус 40°С;

- имеют недостаточный температурный интервал работоспособности, т.е. при требуемой для обеспечения необходимой теплостойкости покрытий - температуре размягчения (порядка 50°С) - они не обладают даже минимально требуемой температурой хрупкости - минус 25°С, не говоря уже о районах Сибири, где требуемые температуры хрупкости органических вяжущих должны достигать минус 45°С, что соответствует расчетным зимним температурам дорожных покрытий;

- не эластичны, так как по своей природе являются термопластами, а в условиях современного грузонапряженного и интенсивного движения автомобилей, обусловливающего многократные динамические воздействия на покрытие, органические вяжущие должны быть эластомерами, т.е. характеризоваться высокой эластичностью - способностью к большим обратимым деформациям во всем диапазоне эксплуатационных температур.

В связи с вышеизложенным необходимо в будущем рекомендовать вместо битумов повсеместно применять ПБВ, которые относятся к классу эластомеров и характеризуются требуемыми показателями эластичности, температурного интервала работоспособности, трещиностойкости (температурой хрупкости) и теплостойкости (температурой размягчения).

Вяжущее может быть отнесено к классу эластомеров только в том случае, если его показатель эластичности не менее 70%, что и регламентировано в ОСТ 218.010-98 для ПБВ на основе СБС и в соответствующем проекте ГОСТ Р.

Температура хрупкости ПБВ должна быть близка к температуре воздуха наиболее холодных суток района строительства или хотя бы не выше зимних расчетных температур покрытия с тем, чтобы при достижении этих температур вяжущее не становилось бы хрупким, а сохраняло работоспособность и способствовало релаксации напряжений, возникающих в них от комплексного воздействия изменения температур и многократного динамического воздействия от колес автомобилей.

Температура размягчения вязких ПБВ должна быть не ниже расчетной температуры сдвигоустойчивости покрытия, основанной на средней максимальной температуре воздуха наиболее жаркого месяца района строительства при скорости ветра 1 м/с, чтобы обеспечить требуемую теплостойкость и сдвигоустойчивость покрытий.

ПБВ должны характеризоваться необходимой адгезией к поверхности минеральных материалов, используемых в данной полимерасфальтобетонной смеси или поверхностной обработке, чтобы как минимум обеспечить требуемый коэффициент длительной водостойкости материала и его длительную эксплуатацию в покрытии или в другой конструкции без шелушения и выкрашивания.

Полимерасфальтобетонные смеси должны подбираться и уплотняться в покрытии с минимально возможным показателем водонасыщения, который должен обязательно обеспечиваться использованием соответствующей техники и технологии, при содержании в полимерасфальтобетоне максимально возможного количества ПБВ. Это в свою очередь позволит обеспечить наибольшую деформативность покрытия при низких и отрицательных температурах и высокую усталостную прочность, а следовательно, и долговечность.

3. ОБОСНОВАНИЕ ВЫБОРА КОМПОНЕНТОВ ДЛЯ ПРИГОТОВЛЕНИЯ ПБВ

Битумы

ПБВ рекомендуется готовить на основе битумов марок БНД согласно ГОСТ 22245-90 «Битумы нефтяные дорожные вязкие. Технические условия», так как по сравнению с битумами марок БН они характеризуются более низкой температурой хрупкости благодаря высокому содержанию парафинонафтеновых и ароматических углеводородов, что позволит при равном содержании полимера и пластификатора получить ПБВ с более низкой температурой хрупкости. Кроме того, в битумах марок БНД значительно меньше хрупких смол, вследствие чего в них лучше распределяется полимер и его необходимое количество для получения ПБВ с оптимальными свойствами меньше.

Полимеры

В качестве полимерной добавки, создающей пространственную эластичную структурную сетку в битуме, были выбраны полимеры класса термоэластопластов (блоксополимеры бутадиена и стирола типа СБС), так как они сочетают в себе необходимые для поставленной цели преимущества по сравнению с полимерами других классов (эластомерами, пластмассами, реактопластами).

Преимущества термоэластопластов заключаются в следующем.

• Позволяют получить пространственную эластичную структурную сетку в битуме при минимальном по сравнению с полимерами других классов содержании, так как характеризуются способностью к специфическим взаимодействиям. Дело в том, что блоки полистирола трехблочных макромолекул типа СБС расположены по краям и образуют очень прочные связи между разными макромолекулами при температурах ниже 80°С. При этом образующиеся связи настолько прочны, что полимер характеризуется высокой прочностью на растяжение (более 20 МПа), т.е: приближается по этому показателю к чистому полистиролу. Поэтому пространственная сетка, образующаяся в битуме, тоже обладает достаточно высокой прочностью, а следовательно, придает ПБВ высокую теплостойкость. При высокой стоимости полимеров минимальное содержание полимера в битуме имеет большое значение.

• Очень хорошо совмещаются с битумами, так как характеризуются оптимальными свойствами для поставленных целей при минимальной молекулярной массе 80000 - 100000, вместо 500000 - 1000000 для других полимеров, а также потому, что полистирол и полибутадиен хорошо растворяются в углеводородах дисперсионной среды битума и при температурах выше 100°С представляют собой линейный полимер.

• Сочетают в себе высокую прочность, присущую пластмассам, и одновременно высокую эластичность, очень низкую (до минус 80 - 100°С) температуру стеклования, свойственную эластомерам. Характеризуются развитой трехмерной пространственной структурой до температуры 80 - 90°С без вулканизаторов и отвердителей лишь за счет физических связей между макромолекулами (по блокам полистирола). Именно эти качества позволяют обеспечить требуемую эластичность и трещиностойкость ПБВ.

На основе многолетних исследований, проведенных в лаборатории органических вяжущих материалов Союздорнии, установлены оптимальный для приготовления ПБВ состав термоэластопласта и его молекулярная масса. В результате исследований для применения рекомендуются термоэластопласты марки ДСТ-30Р-01 (1 группы) и ДСТ-30-01 (1 группы), которые в виде крошки размером 1,5 - 3 мм выпускаются ОАО «Воронежсинтезкаучук» в промышленных масштабах.

Термоэластопласт ДСТ-30Р-01 производится в соответствии с ТУ 38.40327-98 «Термоэластопласты бутадиенстирольные ДСТ-30Р, ДСТ-РМ».

Термоэластопласт ДСТ-30-01 выпускается в соответствии с ТУ 38.103267-99 «Термоэластопласты бутадиенстирольные».

Доказана возможность применения других марок блок-сополимеров типа СБС, аналогичных ДСТ, таких как Кратон Д 1101, Кратон Д 1184 и Кратон Д 1186, Финапрен 411 и Финапрен 502, Европрен Сол Т-161, Калпрен 411.

Пластификаторы

Из многочисленных зарубежных данных, а также исследований авторов обзорной информации известно, что при введении термоэластопластов в битум без пластификаторов для получения ПБВ с оптимальными свойствами требуется как минимум (5 - 6)% полимера по массе. При этом вязкость получаемого вяжущего существенно выше вязкости битумов, что может привести к технологическим затруднениям при приготовлении асфальтобетонных смесей на АБЗ. Повышать же температуру приготовления более 160°С, как поступают за рубежом, очевидно, не следует, так как в России применяются окисленные битумы, которые подвержены интенсивному старению при температурах выше 160°С, в то время как остаточные битумы, применяемые за рубежом, выдерживают температуру до 180°С. Отметим, что температура начала деструкции полимеров типа СБС - (180 - 190)°С.

Кроме того, для получения однородного ПБВ в этом случае необходимо применение дорогостоящих коллоидных мельниц типа «Сифер», а с этим связано и повышение энергозатрат.

Введение пластификатора позволяет обеспечить требуемый температурный режим (не выше 160°С) и существенно повысить эффективность вводимого полимера, т.е. получить ПБВ с развитой пространственной структурной сеткой при минимальном содержании полимера 2 - 2,5%, а также исключить из необходимого комплекта оборудования коллоидную мельницу.

В связи с вышесказанным, а также с целью получений трещиностойких для России ПБВ вплоть до температуры окружающего воздуха минус 55°С при минимальном содержаний полимера и ряде технологических преимуществ, предлагается при приготовлении ПБВ использовать пластификатор.

Таким образом, применение пластификатора, во-первых, позволяет существенно ускорить процесс приготовления ПБВ, во-вторых, существенно снизить стоимость ПБВ, уменьшить энергозатраты на его изготовление, в-третьих, легко обеспечить требуемую температуру хрупкости вплоть до минус 60°С при минимальном содержании полимера.

Применение ПБВ с пластификатором позволяет повысить производительность АБЗ при приготовлении полимерасфальтобетонной смеси, снизить содержание вяжущего в ней, повысить удобоукладываемость и уплотняемость смесей.

В качестве пластификаторов на первом этапе работ по отработке технологии приготовления и применения ПБВ на основе ДСТ применяли очень легкие пожароопасные растворители: бензин и газовый конденсат; токсичные: ксилол, сольвент, затем перешли на более тяжелые малотоксичные: дизельное топливо, битумное сырье (товарный гудрон). При этом следует отметить, что дизельное топливо опасно для применения, так как имеет температуру вспышки около 60°С, а ПБВ на его основе - около 100°С, т.е. процесс приготовления становится взрыво- и пожароопасным. Сырье для производства дорожных битумов - гудрон - не опасен, но с его применением при обычном содержании ДСТ не удается получить температуру хрупкости ПБВ ниже минус 22°С. Следовательно, он пригоден только для получения ПБВ следующих марок - ПБВ 40 и ПБВ 60. Необходимо значительно увеличить содержание полимера для получения ПБВ других марок, а это является экономически нецелесообразным.

В последние годы авторами обзорной информации предложен пластификатор, который имеет температуру вспышки выше 200°С, но вместе с тем не хуже дизельного топлива позволяет регулировать температуру хрупкости ПБВ. Этот пластификатор - индустриальные масла по ГОСТ 20799 марок И-20А, И-30А, И-40А, И-50А (см. изменение № 2 к ТУ 35-1669-88). С применением этих пластификаторов однородность ПБВ повысилась настолько, что при определении температуры хрупкости (важнейшего эксплуатационного показателя) получается однозначный результат, что позволило включить этот показатель в технические требования к ПБВ. Этот пластификатор выпускается в промышленном масштабе в России на Кстовском, Уфимском имени XXII партсъезда, Волгоградском, Новокуйбышевском, Ярославском, Ново-Уфимском, Пермском и Омском НПЗ.

4. ВЛИЯНИЕ СОДЕРЖАНИЯ ПОЛИМЕРА, ПЛАСТИФИКАТОРА И МАРКИ ИСХОДНОГО БИТУМА НА СВОЙСТВА ПБВ

ПБВ является трехкомпонентной системой, поэтому изменение качества одного из компонентов неизбежно влечет за собой изменение качества самого ПБВ. Так как все компоненты ПБВ выпускаются в промышленных масштабах, то изменения их показателей в пределах заданных марок, конечно, имеют место.

Изменения в качестве масла в пределах одной марки незначительны и практически не оказывают влияния на свойства ПБВ. Изменение в качестве блоксополимера типа СБС в пределах одной марки (разные партии) оказывает более заметное влияние на комплекс показателей свойств ПБВ, но, как правило, эти изменения не выходят за пределы требований к ПБВ данной марки. Наиболее существенные изменения, в частности изменение марки ПБВ при заданном составе, могут иметь место при изменении марки исходного битума или типа его дисперсной структуры. Поставка битумов разных марок, даже с одного НПЗ на тот же самый завод по производству ПБВ, очень распространена. В связи с этим в производственных условиях приходится достаточно оперативно корректировать состав ПБВ, изменяя содержание масла или полимера в нем. Поэтому важно знать, как изменяется тот или иной показатель свойств ПБВ в зависимости от марки исходного битума, типа его структуры, содержания полимера и масла. Не менее важно знать, как изменяются свойства ПБВ при длительном выдерживании при высокой температуре, можно ли готовить ПБВ без пластификатора и каковы особенности подбора состава полимерасфальтобетонной смеси. Все указанные вопросы отражены в изложенных ниже результатах многолетних испытаний ПБВ, проведенных в лаборатории органических вяжущих Союздорнии.

Для проведения исследований по влиянию содержания компонентов в полимерно-битумном вяжущем на его свойства были выбраны полимер - блоксополимер дивинила и стирола типа СБС - дивинилстирольный термоэластопласт марки ДСТ-30Р-01 с ОАО «Воронежсинтезкаучук» по ТУ 38.40327-98 (партия 135), пластификатор - индустриальное масло марки И-40А с Кстовского НПЗ по ГОСТ 20799-88 с изменениями 1, 2, 3, 4 и 5 и нефтяные дорожные битумы марок БНД 90/130 (инд. 1120), БНД 60/90 (инд. 1003) и БНД 40/60 (инд. 1088) с Московского НПЗ.

Для ПБВ, содержащих разное количество полимера и пластификатора, были определены показатели физико-механических свойств, которые приведены в табл. 1 и на рис. 1 - 13


Таблица 1

Показатели физико-механических свойств полимерно-битумных вяжущих

Марка исходного битума

Содержание полимера и пластификатора в IШВ, %

Наименование показателей

Глубина проникания иглы, 0,1 мм, при температурах

Растяжимость, см, при темпеpaтурах

Температура размягчения по КиШ, °С (Тразм)

Температура хрупкости по Фраасу, °С (Тхр)

Темпера-турный интервал работо-способ-ности °С

(ИР)

Отношение _ИР_

Д25

Сцепление, баллы, с

Изменение температуры размягчения после прогрева, при 163°С, 5 ч, 4 мм

Температура вспышки, °С

Эластичность, %, при температурах

Условная вязкость по истечению при 60°С, отверстии 5 мм, с ()

ДСТ 30Р-01 (партия 135)

Масло марки И-40А

25°С

(П25)

0°С

(П°)

25°С

(П25)

0°С

(П°)

мрамором

песком

25°С

(Э25)

0°С

(Э°)

5 с

1 с

60 с

1 с

1

2

3

4

5

6

7

8

9

10

11

12

13

14

15

16

17

18

19

20

БНД 60/90 (инд. 1003)

-

-

68

-

24

-

>100

4

52

-15

67

0,67

5

2

2

279

-

-

-

То же

2,0

-

46

-

25

-

28

7

57

-12

69

2,46

5

2

2

274

62

43

-

-"-

3,5

-

40

-

23

-

63

9

59

-14

73

1,16

5

2

3

268

82

54

-

-"-

5,0

-

35

-

25

-

39

15

71

-12

83

2,13

5

1

3

270

89

60

-

-"-

7,0

-

55

-

34

-

27

7

58

-14

72

2,67

-

-

3

267

54

37

-

-"-

-

5

105

-

42

-

>100

7

47

-17

64

0,64

5

1

2

296

-

-

-

-"-

-

10

174

-

70

-

90

15

41

-23

64

0,71

5

1

2

270

-

-

-

-"-

-

15

-

160

100

-

63

28

36

-29

65

1,03

4

2

3

266

-

-

-

-"-

-

20

-

-

-

77

39

>100

29

-36

65

1,67

5

2

3

248

-

-

107

-"-

-

25

-

-

-

-

29

89

24

-39

63

2,17

5

2

3

252

-

-

64

-"-

-

35

-

-

-

285

-

65

11

-51

62

-

5

1

4

244

-

-

31

-"-

2

5

89

-

43

-

46

12

52

-19

71

1,54

4

2

2

286

68

56

-

-"-

2

10

163

-

62

-

45

18

45

-24

69

1,53

5

2

8

265

71

65

-

БНД 60/90 (инд. 1003)

2

15

242

-

106

-

38

20

40

-31

71

1,87

4

2

4

252

79

67

-

То же

2

20

-

229

170

-

33

27

35

-34

69

2,09

5

3

2

249

85

41

-

-"-

2

25

129

-

-

80

23

64

28

-36

64

2,78

4

2

2

245

81

81

183

-"-

2

35

-

-

-

244

19

41

18

-43

61

3,21

4

2

2

236

91

92

118

-"-

3,5

5

73

-

32

-

57

22

62

-16

78

1,37

5

3

1

285

82

70

-

-"-

3,5

10

110

-

59

-

41

45

61

-25

86

2,1

5

1

2

262

87

88

-

-"-

3,5

15

148

-

77

-

44

65

53

-29

82

1,86

5

1

-

258

87

88

-

-"-

3,5

20

235

-

144

-

45

29

47

-35

82

1,82

5

2

8

248

94

62

-

-"-

3,5

25

237

-

170

-

43

70

52

-34

86

2,0

5

2

7

250

84

92

-

-"-

3,5

35

-

-

-

150

19

48

53

-50

103

5,42

5

1

9

243

85

93

368

-"-

5,0

5

63

-

35

-

47

20

64

-20

84

1,79

5

2

4

284

89

72

-

.".

5,0

10

93

-

68

-

44

54

69

-22

91

2,07

5

3

3

253

87

87

-

-".

5,0

15

129

-

85

-

38

65

67

-49

112

2,95

5

2

1

248

85

90

-

-"-

5,0

20

153

-

122

-

49

67

66

-35

101

2,06

5

3

2

243

87

90

-

-"-

5,0

25

199

-

167

-

36

70

61

-40

101

2,81

5

2

3

238

82

89

-

-"-

5,0

35

-

216

-

147

22

52

60

-44

104

4,73

5

3

2

231

73

94

-

БНД 90/130 (инд. 1120)

-

-

107

-

37

-

>100

4

43

-24

67

0,67

2

1

 

264

-

-

-

То же

-

5

126

-

51

-

88

5,8

43

-23

66

0,75

3

2

2

218

-

-

-

-"-

-

10

188

-

72

-

>100

6,6

40

-30

70

0,7

3

2

3

220

-

-

-

-"-

-

15

-

167

107

-

87

8,7

37

-36

71

0,82

4

1

2

222

-

-

-

-"-

-

20

-

242

153

-

71

10,6

34

-42

76

1,07

4

2

2

218

-

-

-

."-

-

25

-

-

241

-

26

11

29

-46

75

2,88

4

1

4

225

-

-

40

.".

-

35

-

-

-

200

23

21

21

-50

71

3,08

4

1

5

215

-

-

23

-•-

2

5

116

-

57

-

19

9,5

47

-29

76

4,0

4

3

5

258

91

57

-

."-

2

10

147

-

72

-

20

8

44

-30

74

3,7

4

3

5

241

95

57

-

."-

2

15

258

-

126

-

35

12

37

-38

75

2,14

4

3

7

234

98

45

-

-"-

2

20

-

181

145

-

21

11

36

-46

82

3,9

4

3

6

226

100

44

-

БНД 90/130 (ивд.1120)

2

25

-

219

211

-

29

10

29

-42

71

2,44

4

2

13

224

62

46

-

То же

2

35

-

-

-

145

24

12

25

-43

68

2,83

3

3

9

218

72

51

-

-"-

3,5

5

91

-

53

-

23

10

58

-21

79

3,43

5

3

1

265

85

73

-

-"-

3,5

10

112

-

77

-

32

13

55

-31

86

2,69

4

2

2

257

92

79

-

-"-

3,5

15

137

-

86

-

40

17

55

-33

88

2,2

3

1

1

251

94

86

-

-"-

3,5

20

181

-

112

-

33

20

56

-39

95

2,88

3

3

0

247

97

87

-

.".

3,5

25

205

-

152

-

30

29

57

-45

104

3,47

4

2

-2

243

97

89

-

-"-

3,5

35

242

-

227

-

29

32

55

>50

>105

3,28

4

1

-1

225

96

93

-

-"-

5

5

72

-

50

-

14

8

62

-31

93

6,64

4

3

1

272

90

68

-

-"-

5

10

93

-

57

-

16

12

63

-39

102

6,37

4

3

-2

249

93

75

-

-"-

5

15

122

-

90

-

26

12

63

-33

96

3,69

4

4

-3

243

99

86

-

-"-

5

20

136

-

104

-

30

16

60

-37

97

3,23

4

4

-2

239

99

87

-

-"-

5

25

164

-

136

-

29

19

58

-41

99

3,41

4

2

-1

234

99

89

-

-"-

5

35

220

-

204

-

28

36

56

-47

103

3,68

4

2

0

228

99

95

-

БНД 40/60 (инд. 1088)

-

-

41

-

20

-

40

0,6

51

-13

64

1,60

4

2

-

300

-

-

-

То же

-

5

92

-

41

-

67

6

51

-18

69

1,02

5

3

2

295

-

-

-

-"-

-

10

133

-

65

-

86

7

46

-25

71

0,83

5

2

2

270

-

-

-

-"-

-

15

207

-

90

-

96

10

41

-33

74

0,77

5

2

2

264

-

-

-

-"-

-

20

-

190

146

-

88

13

35

-32

67

0,76

5

2

-1

246

-

-

-

-"-

-

25

-

-

231

-

42

24

29

-40

69

1,64

-

-

5

240

-

-

88

-"-

-

35

-

-

-

174

-

72

18

-50

68

-

-

 

11

236

-

-

40

-"-

2

5

77

-

41

-

20

8,4

57

-16

73

3,65

5

3

1

286

82

57

-

.".

2

10

115

-

56

-

18

10

54

-25

79

4,39

5

3

0

.265

81

52

-

-"-

2

15

150

-

73

-

47

11

51

-33

84

1,79

5

3

-2

254

93

55

-

-"-

2

20

235

-

113

-

40

12

42

-40

82

2,05

5

3

4

249

95

48

-

-"-

2

25

-

235

170

-

42

14

41

-37

78

1,86

5

3

0

243

99

65

-

-"-

2

35

-

-

-

145

19

17

24

-45

69

3,63

5

3

11

232

100

60

-

БНД 40/60 (инд. 1088)

3,5

5

56

-

36

-

17

11

70

-14

84

4,94

4

3

-3

294

91

66

-

То же

3,5

10

72

-

52

-

32

13

66

-23

89

2,78

4

3

-2

273

95

75

-

-"-

3,5

15

98

-

68

-

27

14

59

-22

81

3,0

4

3

6

268

95

71

-

-"-

3,5

20

133

-

87

-

38

22

64

-28

92

2,42

4

1

0

262

98

87

-

-"-

3,5

25

190

-

119

-

47

35

60

-35

95

2,02

4

3

1

258

98

91

-

-"-

3,5

35

-

225

235

-

40

45

59

-45

104

2,6

4

4

-1

253

97

98

-

-"-

5

5

53

-

41

-

15

7

73

-30

103

6,87

5

5

2

292

91

68

-

-"-

5

10

71

-

51

-

21

14

73

-39

112

5,33

5

5

1

261

95

77

-

-"-

5

15

85

-

66

-

43

20

68

-37

105

2,44

4

3

3

256

92

84

-

-"-

5

20

119

-

88

-

42

27

66

-37

103

2,45

4

2

1

251

95

88

-

-"-

5

25

152

-

111

-

44

43

67

-35

102

2,32

4

2

-2

246

96

92

-

-"-

5

35

213

-

197

-

30

43

65

-42

107

3,57

4

2

-1

239

96

98

-

Примечание. ИР = Тразм - Тхр


Представленный комплекс данных позволяет оценить структурные изменения, происходящие в битумах III структурного типа разных марок как при изменении содержания полимера, так и пластификатора. При этом представлены результаты испытаний свойств битума в зависимости от содержания полимера без пластификатора и от содержания пластификатора без полимера. Такой подход позволяет достаточно объективно судить о влиянии содержания полимера и пластификатора на свойства ПБВ, а также оценить вклад каждого из них.

Ранее проведенные исследования показали, что различные способы приготовления ПБВ, а именно введение ДСТ в битум из раствора в масле или введение ДСТ непосредственно в битум, заранее пластифицированный маслом, влияет только на продолжительность приготовления ПБВ. Установлено, что время приготовления ПБВ на основе раствора полимера существенно меньше, чем при использовании пластифицированного битума. Вследствие этого ПБВ готовили по первому способу при температуре 150 - 160°С.

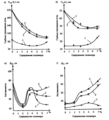
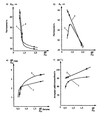
Рис. 1. Зависимость температуры размягчения (а), температуры хрупкости (в) и глубины проникания иглы (б, г) ПБВ от содержания полимера ДСТ;

1 -  - 0%; 2 -  - 2%; 3 -  - 3,5%; 4 -  - 5% и пластификатора И-40Л: 1 -  - 0%; 2 - - 5%; 3 -  - 10%; 4 -  - 15%; 5 -  - 20%; 6 -  - 25%

На рис. 1,а приведены зависимости основных эксплуатационных характеристик ПБВ, приготовленного на основе битума марки БНД 60/90, от содержания пластификатора и полимера. Анализ приведенных данных показывает, что уже при содержании ДСТ в битуме в количестве 3% образуется пространственная структурная сетка полимера, что подтверждается повышением вязкости системы при увеличении содержания пластификатора - характерным для концентрированных растворов полимеров эффектом «межструктурной пластификации», связанным со значительным набуханием полимера. Важно отметить, что при содержании полимера меньше «критической концентрации» этого эффекта не наблюдается (см. рис. 1,a, кривая 2). Благодаря этому уже при содержании полимера в количестве 3% и пластификатора в количестве 10% удается получить вяжущее с требуемыми основными эксплуатационными показателями.

На рис. 1 - 13 приведены данные для вяжущих, полученных на основе битума марки БНД 60/90, индустриального масла марки И-40А и полимера марки ДСТ-30Р-01. Рассмотрим влияние полимера и пластификатора на свойства этого битума.

Глубина проникания иглы (пенетрация) при 25°С характеризует пластичность и вязкость вяжущего, его технологические свойства, а следовательно, косвенно удобоукладываемость асфальтобетонных и полимерасфальтобетонных смесей. Как видно из рис. 1,б, пластичность, как и следовало ожидать, повышается с увеличением содержания пластификатора, причем с увеличением содержания полимера в ПБВ этот эффект заметно меньше выражен. Важно отметить, что при содержании масла в ПБВ менее 5%, а тем более без него пластичность ПБВ заметно уменьшается, а при содержании ДСТ в количестве 5% глубина проникания иглы становится менее 40·0,1 мм, что не соответствует требованиям на дорожные марки. Следовательно, при отсутствии пластификатора в ПБВ или при его малом содержании (5%) следует опасаться резкого ухудшения технологических свойств полимерасфальтобетонных смесей, а именно удобоукладываемости и уплотняемости, а также снижения производительности труда на АБЗ при их изготовлении в связи с высокой вязкостью вяжущего.

Глубина проникания иглы при 0°С (рис. 1,г) характеризует пластичность вяжущих при низких температурах воздуха, является их эксплуатационной характеристикой, свидетельствует об их деформативности, а следовательно, и деформативности асфальтобетона. Без пластификатора деформативность ПБВ при содержании ДСТ вплоть до 5% увеличить не удается, но уже при содержании масла в количестве 5%, даже при содержании полимера в количестве 2%, глубина проникания иглы при 0°С увеличивается почти в 2 раза, при 10% - в три, а при 15% - в четыре раза, по сравнению с исходным битумом. Пунктирные линии на рис. 1 и далее позволяют оценить, как меняются показатели свойств пластифицированного битума с пластификатором при увеличении содержания ДСТ.

Растяжимость при температуре 25°С характеризует степень структурированности вяжущих. Для битумов при определении растяжимости разрыв носит пластический характер и завершается тонкой нитью, а для ПБВ - эластический и завершается широкой полоской, что является одним из доказательств того, что они эластомеры. Низкая растяжимость битумов при 25°С свидетельствует об их недостаточной устойчивости к старению. ПБВ в отличие от битумов более устойчивы к старению и при весьма низких величинах растяжимости при температуре 25°С.

Характер снижения растяжимости при 25°С для битума и ПБВ различен. Причем растяжимость при 25°С падает и с увеличением содержания полимера в ПБВ как в присутствии пластификатора, так и без него (рис. 2, а). Это свидетельствует не об ухудшении свойств вяжущего, а только лишь об образовании в нем дополнительной эластичной пространственной структурной сетки, т.е. о повышении степени структурированности системы.

Рис. 2. Зависимость растяжимости (а, б), температуры размягчения (в) и температуры хрупкости (г) ПБВ от содержания полимера ДСТ и пластификатора И-40А:

1 -  - 0%; 2 -  - 5%; 3 -  - 10%; 4 -  - 75%; 5 -  - 20%; 6 -  - 25%; 7 -  - 35%

Растяжимость вяжущих при 0°С характеризует пластичность вяжущего, а также косвенно асфальтобетона при низких температурах и, естественно, чем она выше, тем лучше. Важно отметить, что при содержании пластификатора до 15% растяжимость ПБВ заметно выше, чем битума при том же содержании пластификатора (рис. 2,б). При содержании пластификатора в количестве 20% растяжимость выше для битума, но в этом случае битум уже жидкий и находится за пределами требуемых норм для вязких дорожных битумов.

Как видно из рис. 1,б, введение ДСТ в битум без пластификатора заметно меньше улучшает этот важный показатель, чем даже при минимальном содержании масла (5%), не говоря уже о 10 и 15%. Дело в том, что без пластификатора сетка полимера, образующаяся при равных содержаниях полимера, еще не может эффективно работать в силу высокой вязкости дисперсионной среды битума. Важно отметить, что для ПБВ с пластификатором, как правило, наблюдается характерный перелом на концентрационных зависимостях показателя растяжимости при 0°С (см. рис. 1,б) при содержании ДСТ в количестве 2 - 2,5%, что можно объяснить образованием пространственной эластичной структурной сетки в битуме.

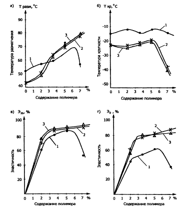
Температура размягчения, определяемая по методу «Кольцо и Шар», - важнейший эксплуатационный показатель свойств вяжущих, характеризующий их теплостойкость и переход из упругопластического реологического состояния в вязкое, которое характеризуется отсутствием пространственной структурной сетки в вяжущем. Эта температура также рассматривается как верхняя граница температурного интервала работоспособности вяжущих.

Следует обратить внимание на то, что при введении в битум ДСТ в количестве 2% температура размягчения меняется с увеличением содержания пластификатора совершенно также, как и для чистого битума (см. рис. 1,а), т.е. надо полагать, что пространственной полимерной сетки в системе еще нет или она настолько слаба, что не оказывает влияния на данный показатель качества. При содержании в ПБВ ДСТ в количестве 3,5 и 5% характер зависимостей иной, характерный для концентрированных растворов, следовательно, полимерная структурная сетка в нем уже есть и работает. Независимо от содержания пластификатора наиболее резкое изменение температуры размягчения наблюдается, начиная с содержания ДСТ в количестве 2,5%. Причем, чем больше в системе пластификатора, тем более ярко это проявляется. Следовательно, именно при этой концентрации в ПБВ образуется сетка полимера. В ПБВ без пластификатора аномалия становится заметна лишь при увеличении содержания ДСТ свыше 4,2% (рис. 2, в).

Температура хрупкости по Фраасу - важнейший эксплуатационный показатель свойств вяжущих, характеризует их трещиностойкость и косвенно трещиностойкость дорожного покрытия. При этом методика его определения учитывает одновременное воздействие температурных напряжений и многократных изгибающих воздействий от колес автомобилей. Этот показатель является нижней границей температурного интервала работоспособности вяжущих и границей перехода из упругопластического в упругохрупкое реологическое состояние.

Анализ данных, представленных на рис. 2,г, позволяет заключить, что этот показатель определяется качеством и составом дисперсионной среды вяжущих и, естественно, закономерно улучшается с увеличением содержания пластификатора. В отсутствие пластификатора введение полимера до 5% несколько ухудшает этот показатель по сравнению с битумом, очевидно, в связи с повышением вязкости дисперсионной среды вяжущего. Если исключить влияние пластификатора, то на рис. 2,г (пунктирная линия) видно, что только при достаточно большом его содержании (15 и 25%) может иметь место заметное улучшение этого показателя по сравнению с пластифицированным битумом при увеличении содержания полимера более 3,5%. Это можно объяснить тем, что, по-видимому, при таком количестве полимера он адсорбирует большинство смол, извлекая их из дисперсионной среды вяжущего, а кроме того, имеет место ориентация полимера в процессе испытания. Аналогичное объяснение могут иметь и известные данные о том, что при содержании полимера в битуме более 5% его температура хрупкости становится ниже (лучше), чем у битума.

В последние годы в лаборатории органических вяжущих Союздорнии выявлено наличие ориентационного эффекта в ПБВ на основе СБС в области отрицательных температур и разработан метод оценки трещиностойкости вяжущих при многократном растяжении при изгибе. Показано, что ПБВ выдерживает в десять и более раз больше циклов до разрушения, чем битумы, т.е. характеризуются более высокой долговременной прочностью.

При этом Тхр ПБВ после многократного растяжения становится ниже (улучшается) на (10 - 30)°С по сравнению с определяемой по стандартному методу за счет ориентации макромолекул полимера, а температура хрупкости битумов повышается (ухудшается) на (3 - 10)°С за счет увеличения микродефектов.

Весьма важным показателем качества битума является его температурный интервал работоспособности (ИР) - алгебраическая разность показателей температуры размягчения и хрупкости. Достаточно сказать, что в России минимальные температуры воздуха наиболее холодных суток, а следовательно, и покрытия могут быть ниже минус 50°С, максимальные летние более 60°С, т.е. требуемый ИР составляет более 110°С, а ИР битумов марок БНД редко превышает 65°С, а марок БН - 55°С.

Как видно из данных, представленных на рис. 3,б, ИР ПБВ заметно выше, чем ИР битумов, и увеличивается при введении пластификатора, что объясняется более эффективной работой полимерной сетки в менее вязкой дисперсионной среде. Например, ИР для ПБВ с содержанием ДСТ в количестве 3,5% и масла в количестве 10% равен 86°С, для ПБВ с содержанием ДСТ 5% без масла - 83°С, а при содержании ДСТ 3,5% без масла всего - 73°С, для ПБВ с содержанием ДСТ 5% и масла 15% - 112°С. Таким образом показано, что ПБВ данного типа в зависимости от содержания полимера и пластификатора может иметь требуемый ИР для любого региона России.

Рис. 3. Зависимость температуры вспышки (а), интервала работоспособности (б) и эластичности (в, г) ПБВ от содержания полимера ДСТ и пластификатора И-40А:

1 -  - 0%; 2 -  - 5%; 3 -  - 10%; 4 -  - 15%; 5 -  - 20%; 6 -  -25%; 7 -  - 35%

Основная цель получения ПБВ - принципиально изменить качество вяжущего, его структуру так, чтобы резко увеличить способность к большим по величине обратимым (эластическим) деформациям, т.е. сделать из битума, который является термопластом, новый вяжущий материал - эластомер. Это в первую очередь проявляется в показателе эластичности.

Показатель эластичности для товарного битума и пластифицированного битума практически равен или близок к 0 как при 25°С, так и при 0°С, в то время как для ПБВ даже без пластификатора при минимальном содержании полимера 2% он равен 61,7% при 25°С и 43% при 0°С (см. табл. 1).

Анализ данных по эластичности (см. рис. 3,в, г) показывает, что при содержании ДСТ около 2,5% по массе эластичность ПБВ достигает своего наибольшего значения - более 80% при 25°С и более 70% при 0°С, далее практически не меняется. Это еще одно подтверждение факта образования пространственной сетки полимера во всем объеме битума при этой концентрации и доказательство того, что вяжущее стало эластомером. Необходимо отметить, что ПБВ без пластификатора, даже при содержании полимера 5%, не достигает показателя эластичности 70% при 0°С. В то же время это удается сделать при содержании ДСТ 3,5% и добавлении масла в количестве 5%.

Анализ данных, приведенных на рис. 3,а, показывает, что с увеличением содержания полимера и масла важнейший показатель техники безопасности при производстве работ - температура вспышки - падает, но остается не ниже, чем предусмотрено требованиями, предъявляемыми к вязким дорожным битумам.

Показатель устойчивости вяжущих к старению - изменение температуры размягчения после прогрева - характеризуется весьма сложными зависимостями. Как правило, этот показатель для ПБВ вязких марок не отличается от аналогичных показателей битумов, а для маловязких ПБВ 200 и ПБВ 300 - ниже на 1°С. Снизить этот показатель, довести его до нормы можно за счет некоторого увеличения содержания полимера в ПБВ или применения современных антиоксидантов в полимере.

Анализ зависимостей показателей свойств ПБВ от содержания ДСТ, приготовленных на битумах марок БНД 40/60, БНД 60/90 и БНД 90/130, показал, что их характер аналогичен, а различие заключается, как правило, лишь в абсолютных значениях показателей свойств.

Для оценки влияния марки применяемого исходного битума на свойства ПБВ рассмотрим данные табл. 2. В табл. 2 приведены показатели основных эксплуатационных характеристик ПБВ разного состава в зависимости от аналогичных показателей исходных битумов. В качестве исходных выбраны наиболее распространенные в дорожном строительстве марки битумов типа БНД. Следует отметить, что марка БНД 130/200 выпускается весьма редко, а марка БНД 200/300 практически не выпускается.

Проанализируем температуру хрупкости по Фраасу. Из представленных данных видно, что при содержании пластификатора в ПБВ до 20 - 25% применение исходного битума с более низкой температурой хрупкости позволяет получить и ПБВ при том же самом содержании масла с более низкой температурой хрупкости. Однако это преимущество менее вязкого битума может быть компенсировано применением более вязкого, содержащего около 5% масла.

Температура размягчения ПБВ закономерно снижается с понижением температуры размягчения исходного битума, однако практически во всех случаях при любом содержании масла в ПБВ и при содержании полимера более 3,5% ее величина выше 51°С - нормы для наиболее вязкого дорожного битума согласно ГОСТ 22245-90. Следовательно, несмотря на существенно более низкую температуру размягчения исходного битума, его вполне можно применять для приготовления ПБВ с температурой размягчения не ниже 51°С.

Важно отметить, что температурный интервал работоспособности ПБВ на основе битума марки БНД 90/130 выше, чем для ПБВ на основе битума марки БНД 60/90, а при содержании ДСТ 3,5% и масла более 15% выше, чем для ПБВ на основе битума марки БНД 40/60.

Тем не менее, при выборе исходного битума необходимо учесть, что ПБВ с содержанием ДСТ 3,5% и масла менее 15%, приготовленное на основе битума марки БНД 90/130, недостаточно эластично при 0°С (показатель эластичности менее 75%) (см. табл. 1).

Таблица 2

Влияние свойств исходного битума на температуры размягчения и хрупкости ПБВ

Содержание полимера и пластификатора в ПБВ, %

Температура хрупкости, °С

Температура размягчения, °С

Температурный интервал работоспособности, °С

ДСТ-30Р-01 (партия 135)

масло марки И-40А

БНД 40/60 (инд. 1088)

БНД 60/90 (инд. 1003)

БНД 90/130 (инд. 1120)

БНД 40/60 (инд. 1088)

БНД 60/90 (инд. 1003)

БНД 90/130 (инд. 1120)

БНД 40/60 (инд. 1088)

БНД 60/90 (инд. 1003)

БНД 90/130 (инд. 1120)

0

0

-13

-15

-24

54

52

43

64

67

67

0

5

-18

-17

-23

51

47

43

69

64

66

0

10

-25

-23

-30

46

41

40

71

64

70

0

15

-33

-29

-36

41

36

37

74

65

73

0

20

-32

-36

-42

35

29

34

67

65

76

0

25

-40

-39

-46

29

24

29

69

63

75

0

35

-50

-51

-50

18

11

21

68

62

71

2

5

-16

-19

-29

57

52

47

61

71

76

2

10

-26

-24

-30

54

45

44

69

69

74

2

15

-29

-31

-38

51

40

37

71

71

75

2

20

-40

-34

-46

42

35

36

69

69

82

2

25

-37

-36

-42

41

28

29

74

64

71

2

35

-45

-43

-43

24

18

25

69

61

68

3,5

5

-14

-16

-22

70

62

58

84

78

80

3,5

10

-23

-25

-31

66

61

55

89

86

86

3,5

15

-22

-29

-33

59

53

55

81

82

88

3,5

20

-28

-35

-39

64

57

56

92

82

95

3,5

25

-35

-34

-45

60

52

57

95

86

102

3,5

35

-45

-50

-50

59

53

55

104

103

105

5

5

-30

-20

-31

73

64

62

103

84

93

5

10

-39

-22

-39

73

69

63

112

91

102

5

15

-37

-49

-33

68

67

63

105

116

96

5

20

-37

-35

-37

66

66

60

103

101

97

5

25

-35

-40

-41

67

61

58

102

101

99

5

35

-42

-44

-47

65

60

56

107

104

103

5. ВЛИЯНИЕ СТРУКТУРНОГО ТИПА БИТУМА НА ФИЗИКО-МЕХАНИЧЕСКИЕ СВОЙСТВА ПБВ

В настоящее время нефтеперерабатывающая промышленность поставляет в дорожно-строительные организации наряду с битумами марок БНД согласно ГОСТ 22245-90, относящимися к III типу дисперсной структуры, битумы, относящиеся ко II типу структуры, марок БН согласно ГОСТ 22245-90, и битумы I структурного типа, не отвечающие требованиям ГОСТ на дорожные битумы, но иногда поступающие в дорожно-строительные организации.

Это обстоятельство и предопределило необходимость проведения исследования влияния структурного типа битума на физико-механические свойства ПБВ.

С этой целью для исследования были приняты наиболее часто используемые в дорожном строительстве битумы марок БНД 60/90, относящиеся к III типу дисперсной структуры, марок БН 60/90, относящиеся ко II типу структуры, а также битум I структурного типа, характеризующийся глубиной проникания иглы при 25°С, равной 90 - 0,1 мм, с той целью, чтобы все битумы характеризовались близкой глубиной проникания иглы при 25°С.

Приведенные в табл. 3 данные подтверждают, что битумы марок БНД 60/90 и БН 60/90 характеризуются соответственно дисперсной структурой III и II типа. Битумы марки БНД 60/90 и I структурного типа содержат практически одинаковое количество фракций масел, которое выше, чем для битума марки БН, но при этом для битума I структурного типа характерно значительно более высокое содержание парафино-нафтеновых углеводородов (ПН): в 1,5 раза больше, чем для битума марки БНД 60/90, и на 9,7% больше, чем для битума марки БН 60/90. Максимальное содержание смол и минимальное содержание асфальтенов присуще битуму II структурного типа марки БН 60/90.

Таблица 3

Групповые химические составы битумов

Марка и тип битума

Содержание компонентов, %

Углеводороды (масла)

Смолы

Ас-фалъ-тены

пара-фино-нафте-новые (ПН)

моно-цикло-арома-тичес-кие (МЦА)

би-цикло-арома-тичес-кие (БЦА)

поли-цикло-арома-тичес-кие (ПЦА)

сумма масел

петро-лейно-бензоль-ные

(ПБС)

спирто-бензоль-ные

(СБС)

Сумма смол

БНД 60/90

III структурного типа

(инд. 1003)

П25 = 68·0,1 мм

13,2

9,4

21,4

2,7

46,7

16,9

12,2

29,1

24,2

БН 60/90

II структурного типа

(инд. 1706)

П25- 76·0,1 мм

2,1

12,4

19,8

8,4

42,7

19,0

18,7

37,7

19,6

Битум

I структурного типа

(инд. 1741)

П25 = 90·0,1 мм

20,3

9,4

13,1

4,7

47,5

8,9

11,7

20,6

31,9

Показатели физико-механических свойств исходных битумов (табл. 4) обусловлены их дисперсной структурой. Действительно, высокое содержание ПН-углеводородов в битуме I структурного типа обеспечивает низкую температуру хрупкости по Фраасу, а высокое содержание асфальтенов - высокую температуру размягчения. Но при этом значение растяжимости при 25°С очень низкое и не удовлетворяет требованиям ГОСТ 22245-90. Битум III структурного типа марки БНД при температурах размягчения и хрупкости, практически равных аналогичным показателям битума I структурного типа, характеризуется значительно более высокой растяжимостью при 25°С. Битум II типа структуры марки БН отличается значительно более низкой температурой размягчения и более высокой (худшей) температурой хрупкости при высокой растяжимости при 25°С.

Битум I структурного типа характеризуется наиболее высокой склонностью к старению, как наиболее сильно структурированные системы, об этом свидетельствует низкая величина растяжимости при 25°С. Именно благодаря нормированию этого показателя битумы I структурного типа не удовлетворяют требованиям ГОСТ 22245-90 «Битумы нефтяные дорожные вязкие». Следовательно, непригодны для дорожного строительства. Тип дисперсной структуры битумов хорошо идентифицируется по соотношению интервала работоспособности и растяжимости при 25°С (см. табл. 4). Чем больше развит коагуляционный каркас в битуме, выше степень его структурированности, тем выше значение этого показателя.

В табл. 5 и на рис. 4, 5 приведены результаты определения комплекса показателей свойств ПБВ, приготовленных на основе битумов разных структурных типов, содержащих 10% пластификатора - масла марки И-40А - и различное количество полимера марки ДСТ-30Р-01.

 


Таблица 4

Показатели физико-механических свойств битумов

Марка и тип битума

Наименование показателей

Глубина проникания иглы, 0,1 мм, при температурах

Растяжимость, см, при температурах

Температура, °С

Интервал работо-
способности (ИР), °С

Изменение температуры размягчения после прогрева при 163°С, 5 ч, 4 мм, °С

Сцепление, баллы, с

Отношение _ИР_

Д25

25°С (П25)

0°С

(По)

25°С

(Д25)

0°С

(До)

размягчения (Тразм)

хрупкости (Тхр)

вспышки (Твсп)

мрамором

песком

БНД 60/90

III структурного типа (инд. 1003)

68

24

>100

4,3

52

-15

279

67

2

5

2

0,67

БН 60/90

II структурного типа (инд. 1706)

64

18

>100

0

47

-9

303

56

5

5

4

0,56

Битум

I структурного типа, П25 = 90·0,1 мм (инд. 1741)

90

42

36

6,0

50

-16

276

66

5

5

5

1,83

Таблица 5

Показатели физико-механических свойств полимерно-битумных вяжущих

Содержание компонентов в ПБВ, %

Наименование показателей

битум

ДСТ 30Р-01

Масло марки И-40А

Глубина проникания иглы, 0,1 мм, при температурах

Растяжимость, см, при температурах

Темпе-
ратура размягчения по КиШ, °С (Тразм)

Темпе-
ратура хрупкости по Фраасу, °С

(Тхр)

Темпе-
ратура вспышки, °С

Сцепление, баллы, с

Изменение температуры размягчения после прогрева при 163°С, 5ч, 4 мм

Эластичность,

%, при температурах

Интервал работо-
способ-
ности, °С, (ИР)

Отношение _ИР_

Д25

25°С (П25)

0°С

(По)

25°С

(П25)

0°С

(По)

мрамо-ром

песком

25°С

0°С

БНД 60/90 (ивд.1003)

-

-

68

24

>100

4

52

-15

279

5

2

2

-

-

67

0,67

То же

 

 

 

 

 

 

 

 

 

 

 

 

 

 

 

 

90

-

10

174

70

90

15

41

-23

270

5

1

2

-

-

64

0,71

88

2,0

10

163

62

45

18

45

-24

265

5

2

8

71

65

69

1,53

86,5

3,5

10

110

59

41

45

61

-25

262

5

1

2

87

88

86

2,10

85

5,0

10

93

68

44

54

69

-22

253

5

3

3

87

87

91

2,07

БН 60/90 (инд.1706)

-

-

76

29

>100

6,0

45

-12

309

5

4

3

-

-

57

0,57

То же

 

 

 

 

 

 

 

 

 

 

 

 

 

 

 

 

90

-

10

420

57

>100

12

39

-18

297

4

4

1

-

-,

57

0,57

88

2

10

159

77

59

24

41

-24

288

4

3

2

87

68

65

1,10

86,5

3,5

10

112

62

59

35

57

-23

286

4

3

5

97

83

80

1,36

85

5

10

114

66

64

58

66

-25

272

4

3

-3

97

90

91

1,42

Битум I структурного типа (инд. 1741)

 

 

90

42

36

6,0

50

-16

276

5

5

5

 

 

66

1,83

То же

 

 

 

 

 

 

 

 

 

 

 

 

 

 

 

 

90

 

10

216

91

77

11

44

-29

267

2

2

1

-

-

73

0,95

88

2

10

153

73

21

15

53

-33

269

2

4

-2

87

70

86

4,10

86,5

3,5

10

112

73

34

26

63

-28

257

3-

3

3

97

72

91

2,68

85

5,0

10

117

84

30

25

75

-29

248

3

?

3

97

81

104

3,47

 


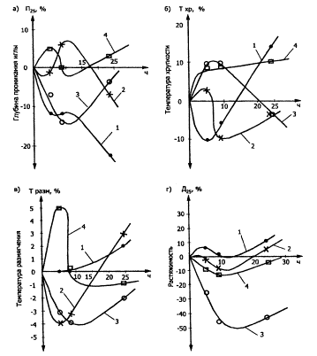
Рис. 4. Зависимость температуры размягчения (а), температуры хрупкости (в) и глубины проникания иглы (б, г) ПБВ от структуры исходных битумов:

1 -  - 3,5% ДСТ + 10% И-40А; 2 -  - 5% ДСТ + 10% И-40А

Рис. 5. Зависимость растяжимости (а, б),  (в) и интервала работоспособности (г) ПБВ от структуры исходных битумов:

1 -  - 3,5% ДСТ + 10% И-40А; 2 -  - 5% ДСТ + 10% И-40А

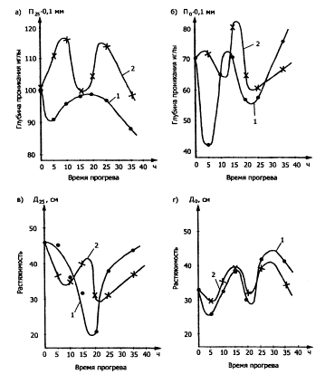
Анализ данных показывает, что с увеличением степени структурированности исходного битума повышается теплостойкость ПБВ (см. рис. 4,а, Тразм), и чем выше содержание полимера в ПБВ, тем более ярко это выражено. Трещиностойкость ПБВ явно и довольно резко повышается с увеличением степени структурированности битума (см. рис. 4,в, Тхр) и при любом из представленных содержаний полимера она наилучшая для ПБВ на основе битума I структурного типа. При содержании ДСТ в количестве 5% в ПБВ на основе битума III структурного типа трещиностойкость хуже, чем для ПБВ на основе II типа структуры, что можно объяснить только большей вязкостью дисперсионной среды, которая подтверждается данными о малой величине глубины проникания иглы данного ПБВ (см. рис. 4,б).

Для ПБВ на основе битумов I и II типов структуры пластичность при 25°С (см. рис. 4,б) мало зависит от содержания ДСТ в ПБВ, но проходит через резко выраженный минимум при высоком (5%) содержании ДСТ в ПБВ, приготовленном на основе битума III структурного типа.

Деформативность ПБВ при 0°С (По) весьма сильно зависит от степени структурированности исходного битума (см. рис. 4,г), причем при оптимальном содержании полимера (3,5%) она проходит через минимум, а при большом (5%) - прямо пропорционально повышается. При этом пластичность ПБВ при 0°С (До) проходит через максимум в зависимости от степени структурированности битума (см. рис. 5,б) при оптимальном содержании ДСТ и прямо пропорционально падает при большом содержании ДСТ, оставаясь достаточно высокой даже для ПБВ на битуме I структурного типа.

При повышении степени структурированности исходного битума от II к III типу структуры значительно заметнее падает пластичность (Д25) ПБВ при 25°С (см. рис. 5,а), затем при переходе к I структурному типу продолжает уменьшаться, но уже несопоставимо медленнее по сравнению с ПБВ на основе битумов, относящихся ко II типу структуры. За рубежом ПБВ готовят на основе остаточных битумов, поэтому они и характеризуются высоким Д25. Для России определяющим является повышение трещиностойкости ПБВ, которая выше при применении окисленных битумов при минимально необходимом содержании полимера.

Эластичность ПБВ при 25°С независимо от содержания ДСТ выше в случае использования битумов II и I типов структуры для его приготовления (см. табл. 5). Эластичность ПБВ при 0°С практически одинакова при применении исходного битума II и III типов структуры (см. табл. 5) и заметно падает при использовании битумов I структурного типа, особенно с меньшим содержанием ДСТ. Очевидно, наиболее ярко проявляется отрицательное влияние развитого коагуляционного каркаса битума на развитие эластической деформации в ПБВ при 0°С.

Температурный интервал работоспособности ПБВ увеличивается с повышением степени структурированности исходного битума, что наиболее резко выражено при большом содержании полимера (рис. 6,б).

В заключение важно отметить, что степень структурированности ПБВ повышается с увеличением степени структурированности исходного битума (см. рис. 6,г), причем наиболее заметно при переходе от исходных битумов II типа (БН) к III (БНД) и при больших содержаниях полимера.

Ниже рассмотрим, как влияет тип дисперсной структуры исходного битума на концентрационные зависимости показателей свойств ПБВ.

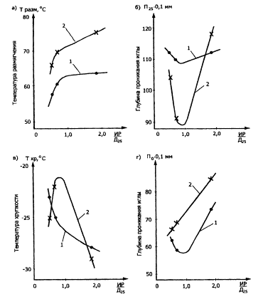
Анализ данных, приведенных на рис. 6,а, показывает, что при минимальной концентрации полимера, при которой образуется структурная сетка в ПБВ, наблюдается аномальное изменение Тразм при увеличении содержания ДСТ, в случае использования битумов II структурного типа - 2,5%, III типа - 2,2%, I типа - 2,1 % (см. табл. 6), а равная температура размягчения ПБВ, например, 52°С достигается (см. рис. 6,а) соответственно в случае применения исходного битума II структурного типа - 3,3%, III типа - 2,6%, I типа - 1,7%. Это связано, как было показано ранее, с трудностью распределения полимера в дисперсионной среде битума с увеличением в ней содержания смол.

Рис. 6. Зависимость температуры размягчения (а), интервала ИР работоспособности (б), температуры хрупкости (в) и  (г) ПБВ от содержания полимера ДСТ и структуры исходного битума:

1 -  - I тип структуры; 2 -  - II тип структуры; 3 -  - III тип структуры

Таблица 6

Минимально необходимое содержание компонентов в ПБВ, соответствующих требованиям проекта ГОСТ Р

Марка ПБВ

Тип структуры битума

П25, 0,1 мм

Марка битума

Содержание, %

ДСТ

масло марки И-40А

ПБВ 40

III

68

БНД 60/90

3,1

5

II

76

БН 60/90

3,2

3

I

90

 

2,7

5

ПБВ 60

III

68

БНД 60/90

3,25

7

II

76

БН 60/90

3,5

8

I

90

 

2,5

7

ПБВ 90

III

68

БНД 60/90

3,1

10

II

76

БН 60/90

3,5

13

I

90

 

2,5

8

ПБВ 130

III

68

БНД 60/90

3,3

15

II

76

БН 60/90

3,3

17

I

90

 

3,0

10

ПБВ 200

III

68

БНД 60/90

3,5

20

II

76

БН 60/90

3,0

20

I

90

 

3,5

20

ПБВ 300

III

68

БНД 60/90

3,5

29

II

76

БН 60/90

3,5

25

I

90

 

3,5

25

Обращает на себя внимание тот факт, что для ПБВ, приготовленного на основе битумов II структурного типа, увеличение содержания полимера приводит к заметному повышению трещиностойкости с увеличением содержания ДСТ в ПБВ (см. рис. 6,в, Тхр). В ПБВ на основе битума III структурного типа этого не наблюдается. Причем при содержании ДСТ в количестве 5% трещиностойкость ПБВ на основе битума II типа структуры лучше, чем для ПБВ на основе битума III типа структуры. Независимо от содержания ДСТ трещиностойкость ПБВ на основе битумов I структурного типа всегда выше. При оптимальных содержаниях полимера (2,0 - 4,0)% наихудшая трещиностойкость (Тхр) и теплостойкость (Тразм) присущи ПБВ на основе битума II структурного типа. При этом и температурный интервал работоспособности наименьший для таких ПБВ. Это можно объяснить наименьшей степенью структурированности ПБВ на основе битумов II структурного типа при любом содержании полимера. Именно поэтому предпочтительнее получать ПБВ на основе битумов марок БНД, чем битумов марок БН. Это позволяет при том же содержании ДСТ получить ПБВ с более высокими трещиностойкостью, теплостойкостью и интервалом работоспособности. Однако они будут отличаться меньшей пластичностью при 25°С (Д25). ПБВ с меньшей пластичностью получаются и на основе битумов I структурного типа. Очевидно, для того, чтобы такие ПБВ удовлетворяли требованиям ОСТ 218.010-98 и проекта ГОСТ Р на ПБВ, содержание полимера и пластификатора в них должно быть несколько выше, чем для ПБВ, полученных на основе битумов II и III структурных типов (см. табл. 5 и 6). При этом во всех случаях с увеличением содержания полимера пластичность ПБВ при 25°С (Д25) падает до содержания 2% ДСТ, а затем не меняется, а пластичность при 0°С (До) возрастает, что имеет неизмеримо более важное значение. Эластичность ПБВ на основе битумов II и III структурных типов практически не различается, а на основе I структурного типа на (10 - 15)% ниже при данном недостаточном для него содержании пластификатора.

Деформативность ПБВ при 0°С (По) на основе битумов I структурного типа всегда выше, чем для ПБВ на основе битумов III и II типов структуры. Технологичность ПБВ на основе битумов структурного типа при больших содержаниях полимера наименьшая (П25).

В заключение можно констатировать, что тип дисперсной структуры битума оказывает весьма существенное влияние на свойства ПБВ при любом содержании полимера.

В табл. 7 приведены все стандартные показатели свойств ПБВ, приготовленных на основе битумов I и II типов дисперсной структуры с разным содержанием полимера и пластификатора. Характер кривых зависимостей основных стандартных показателей свойств ПБВ от содержания полимера и пластификатора практически аналогичен зависимостям, полученным для ПБВ на основе битума III структурного типа.

Анализ полученных данных свидетельствует о том, что ПБВ, соответствующие требованиям проекта ГОСТ Р, могут быть получены и на битумах I типа дисперсной структуры.

Как видно из табл. 7, в случае применения исходных битумов I структурного типа необходимо минимальное содержание полимера и пластификатора для получения ПБВ, но при этом наблюдается недостаточно хорошее сцепление ПБВ с материалами как основных, так и кислых пород, что потребует, очевидно, введения ПАВ. В то же время видно, что для получения товарного ПБВ на основе битумов II типа структуры необходимо большее содержание полимера и пластификатора, чем в случае применения исходного битума III типа структуры.

Высокая стоимость ПБВ выдвигает на первое место задачу оптимизации его состава при обеспечении всех требований по качеству.

Один из путей решения этой задачи - обеспечение стабильного качества исходных компонентов: битума, полимера и пластификатора; особенно важна поставка битумов марок БНД согласно ГОСТ 22245-90 в пределах одной выбранной марки. Дело в том, что применение битумов марок БН вместо битумов марок БНД требует, как указано выше, повышения содержания полимера в ПБВ, а применение битума более вязких марок приводит к увеличению содержания пластификатора.

Второй путь решения этой задачи - применение блоксополимеров типа СБС с более высокой молекулярной массой, что позволит получить ПБВ требуемого качества при меньшем содержании полимера (табл. 8).


Таблица 7

Показатели физико-механических свойств ПБВ, полученных на основе битумов I и II типов дисперсной структуры

Наименование и состав образцов

Наименование показателей

Марка исходного

битума

Содержание полимера и пластификатора в ПБВ, %

Глубина проникания иглы, 0,1 мм, при температурах

Растяжимость, см, при температурах

Темпе-ратура размяг-чения по КиШ, °С

Темпера-тура хрупкости по Фраасу, 0°С

Ин-тервал рабо-тоспо-соб-иости,, °С

Отно-шение

Сцепление, баллы, с

Изме-нение темпе-ратуры размяг-чения после прогрева при 163°С, 5 ч, 4 мм

Темпе-ратура вспышки, °С

(Твсп)

Эластич-ность, %, при темпера-турах

Услов-ная вяз-кость по истече-нию при 60°C, отвер-стии 5 мм, с ()

ДСТ-30Р-01

Масло марки И-40А

25°С

0°С

25°С

0°С

мрамором

песком

25°С

0°С

1 с

60 с

1 с

1

2

3

4

5

6

7

8

9

10

11

12

13

14

15

16

17

18

19

20

Битум I типа структуры (инд. 1741)

-

-

90

-

42

-

36

6,0

50

-16

66

1,83

5

5

5

276

-

-

-

То же

2,0

-

70

-

33

-

24

11

61

-15

76

3,16

5

3

1

271

90

66

-

-"-

3,5

-

62

-

30

-

24

15

70

-17

87

3,62

5

5-

0

266

93

70

-

-"-

5,0

-

51

-

32

-

32

14

78

-17

95

2,97

5

4

-1

268

95

79

-

-"-

7,0

-

54

-

30

-

40

19

86

-28

114

2,85

5

4

-3

265

97

85

-

-"-

-

5

152

-

61

-

71

7

49

-27

76

1,07

2

2

0

303

-

-

-

-"-

-

10

216

-

91

-

77

11

44

-29

73

0,95

2

2

1

267

-

-

-

-"-

-

15

350

-

140

-

66

14

39

-35

74

1,12

2

3

2

263

-

-

-

-"-

-

20

421

-

241

-

38

18

33

-41

74

1,95

2

4

1

245

-

-

-

Битум I типа структуры (инд. 1741)

-

25

490

-

406

-

29

27

27

-44

71

2,45

3

4

3

249

-

-

-

То же

-

35

610

-

523

-

-

44

18

-48

66

-

4

4

2

241

-

-

-

-"-

2

5

101

-

51

-

16

13

55

-24

79

4,93

4

4

4

290

68

69

-

-"-

2

10

153

-

73

-

21

15

53

-33

86

4,09

2

4

-2

259

87

70

-

-"-

2

15

217

-

109

-

28

16

51

-35

86

3,07

3

4

-1

256

91

72

-

-"-

2

20

393

-

167

-

20

17

47

-36

83

4,15

3

4

-4

253

91

67

-

-"-

2

25

491

-

261

-

24

35

47

-39

86

3,58

3

4

-7

249

97

84

-

-"-

2

35

-

-

423

-

25

42

44

-43

87

3,48

3

4

-13

240

96

87

28

-"-

3,5

5

90

-

57

-

19

16

61

-24

85

4,47

3-

3

3

282

87

72

-

-"-

3,5

10

112

-

73

-

34

26

63

-28

91

3,5

3-

3

3

257

97

72

-

-"-

3,5

15

146

-

91

-

38

33

62

-31

93

2,45

3

3

3

255

97

87

-

-"-

3,5

20

178

-

129

-

32

39

66

-33

99

3,09

3

3

3

243

98

92

-

-"-

3,5

25

226

-

195

-

29

45

62

-42

104

3,57

3

3

3

248

98

96

-

-"-

3,5

35

389

-

363

-

28

46

59

-48

107

3,82

3+

3+

-3

237

99

98

-

-"-

5

5

101

-

61

-

28

18

69

-23

92

3,28

3+

3+

-4

280

95

73

-

-"-

5

10

117

-

84

-

30

25

75

-29

104

3,47

3

3

3

248

97

81

-

-"-

5

15

137

-

101

-

34

36

72

-34

106

3,12

3

3

3

246

98

89

-

-"-

5

20

145

-

128

-

36

43

71

-37

108

3,00

3

3

3

236

99

95

-

-"-

5

25

177

-

157

-

31

47

69

-43

112

3,61

3

3

3

235

99

95

-

-"-

5

35

230

-

241

-

28

54

65

-47

112

4,00

3

3

3

226

99

96

-

БН 60/90 (инд.1706)

-

-

76

-

29

-

>100

6,0

45

-12

57

0,57

5

4

3

309

-

-

-

То же

2,0

-

60

-

26

-

25

8,3

53

-10

63

2,52

-

-

1

303

79

67

-

-"-

3,5

-

65

-

25

-

39

13

66

-11

73

2,52

-

-

0

296

93

71

-

-"-

5,0

-

46

-

35

-

52

14

70

-11

81

1,56

-

-

0

294

94

72

-

-"-

7,0

-

55

-

30

-

49

14

81

-33

114

2,33

-

-

0

296

98

81

-

БН 60/90 (инд. 1706)

-

5

155

-

40

-

>100

7,5

44

-14

58

0,58

5

4

0

319

-

-

-

То же

-

10

-

-

57

-

>100

12

39

-18

57

0,57

4

4

1

297

-

-

135

-"-

-

15

-

-

65

-

62

27

36

-27

63

1,02

4

3

0

294

-

-

120

-"-

-

20

-

-

-

-

40

53

31

-30

61

1,52

5

4

1

277

-

-

203

-"-

-

25

-

-

-

-

26

82

27

-36

63

2,42

4

3

1

283

-

-

42

-"-

-

35

353

-

128

-

-

82

32

-26

58

-

-

-

-

272

-

-

-

-"-

2

5

94

-

57

-

61

19

45

-21

66

1,08

4

3

3

308

74

65

-

-"-

2

10

159

-

77

-

59

24

41

-24

65

1,10

4

3

2

288

87

68

-

-"-

2

15

284

-

150

-

31

45

34

-30

64

2,06

4

3

3

275

90

65

-

-"-

2

20

-

-

260

-

30

66

28

-37

65

2,17

5

3

3

271

84

67

47

-"-

2

25

-

-

484

-

21

51

26

-42

68

3,24

5

3

-2

278

89

82

64

-"-

2

35

-

-

-

-

-

41

14

-46

57

-

4

3

2

265

-

81

22

-"-

3,5

5

74

-

43

-

36

23

59

-18

77

2,14

4

3

-7

305

97

74

-

-"-

3,5

10

112

-

62

-

59

35

57

-23

80

1,36

4

3

5

286

97

83

-

-"-

3,5

15

146

-

86

-

35

39

63

-27

90

2,57

4

3

-3

281

99

89

-

-"-

3,5

20

197

-

125

-

34

49

61

-34

94

2,76

5

3

-4

270

99

94

-

-"-

3,5

25

-

-

339

-

25

59

58

-40

98

3,92

4

3

-

275

98

97

275

-"-

3,5

35

-

-

496

-

19

44

>51

-44

>95

5,00

4

3

-

263

91

96

76

-"-

5

5

85

-

50

-

57

39

64

-20

84

1,47

4

3

2

301

97

83

-

-"-

5

10

114

-

66

-

64

58

66

-25

91

1,42

4

3

-3

272

97

90

-

-"-

5

15

164

-

121

-

61

67

62

-30

92

1,51

5

3

-2

266

97

95

-

-"-

5

20

196

-

156

-

48

70

59

-36

95

1,98

5

3

-18

259

97

97

-

-"-

5

25

225

-

205

-

29

64

66

-39

105

3,62

4

3

0

251

99

99

-

-"-

5

35

331

-

286

-

24

>30

43

-47

90

3,75

4

3

21

243

99

100

-

Таблица 8

Показатели физико-механических свойств полимерно-битумных вяжущих на основе блоксополимеров типа СБС

Наименование образца

Наименование показателей

Глубина проникания иглы, 0,1 мм, при температурах

Растяжимость, см, при температурах

Температура, °С

Изменение после прогрева 163°С, 5 ч, 4 мм

Сцепление, баллы, с

Эластичность, %, при температурах

25°С

0°С

25°С

0°С

размягчения

хрупкости

вспышки

массы, %

температуры размягчения, °С

мрамором

песком

25°С

0°С

ПБВ 90+3,5 % СБС+12% масла.

Мольмасса СБС - 150000

122

80

43

24

63

-27

243

0,14

3

5

2

94

83

ПБВ 90+2,5% СБС+12% масла. Мольмасса СБС - 400000

134

85

79

44

59

-26

-

0,06

3

-

-

97

85

ПБВ 90+3,5% СБС+12% масла. Механическое перемешивание

132

78

38

19

54

-26

-

0,06

1

5

3

95

75

ПБВ 90+2% СБС+8% масла. Кавитационный смеситель

114

79

60

51

57

-26

247

0,08

5

5

3

96

82

ПБВ 90+3% СБС+10% масла, Кавитационный смеситель

95

69

43

43

65

-27

-

0,06

0

5

2

97

80

 


Третий путь - более тонкое диспергирование всех компонентов ПБВ, особенно полимера, с помощью гидродинамического (кавитационного) смесителя.

Кавитационные смесители (реакторы) известны достаточно давно, и их специальные конструкции использованы как при окислении битума, так и еще раньше - для приготовления резинобитумного вяжущего. В 1996 г. силами ТОО «Автострада ККБ» с использованием гидродинамического преобразователя (кавитационного смесителя) выпущено несколько промышленных партий ПБВ на основе блоксополимера типа СБС марки ДСТ-30-01. Как видно из сопоставления результатов испытаний (табл. 8) промышленного образца (№ 4) и лабораторного (№ 1), полученного с помощью механической мешалки из тех же компонентов, удается более чем на 30% снизить содержание полимера и масла в ПБВ без ухудшения его качества.

В связи с этим целесообразно широко опробовать кавитационные смесители для приготовления ПБВ и при подтверждении их положительного эффекта использовать в производстве. Важно также направить усилия производителей блоксополимеров типа СБС в России на организацию производства и выпуск высокомолекулярных блоксополимеров типа СБС с хорошей растворимостью, так как образец ПБВ № 2 (табл. 8) приготовлен на основе блоксополимера типа СБС зарубежного производства. Не менее важно организовать производство блоксополимеров типа СБС, способных обеспечивать хорошую адгезию ПБВ с любыми минеральными материалами, применяемыми в дорожном строительстве.

6. ВЛИЯНИЕ КАЧЕСТВА БЛОКСОПОЛИМЕРОВ ТИПА СБС НА СВОЙСТВА ПБВ

В соответствии с изменением 2 к ТУ 35-1669-88 и ОСТ 218.010-98 «Вяжущие полимерно-битумные дорожные на основе блоксополимеров типа СБС», наряду с блоксополимерами типа СБС марок ДСТ-30Р-01 и ДСТ-30-01, допускается для приготовления ПБВ применение других марок полимеров этого класса таких, как Кратон Д 1101, Кратон Д 1184, Кратон Д 1186 фирмы Shell; Финапрен 502, Финапрен 411 фирмы Petrofina; Европрен Сол Т 161 фирмы Enichem; Калпрен 411 фирмы Repsoil. В связи с этим указанные полимеры включены в проект ГОСТ Р на ПБВ и ниже приведены результаты исследований ПБВ, приготовленных с использованием блоксополимеров типа СБС различных марок.

В табл. 9 даны результаты испытания ПБВ, содержащего одинаковое количество полимера разных марок - 3% по массе. При этом ПБВ, приготовленное на основе вязкого битума марки БНД 60/90, содержит кроме того 10% пластификатора - индустриального масла марки И-40А.

Как видно из приведенных данных, в случае применения пластификатора свойства ПБВ, приготовленных на основе полимера одного класса, но разного качества, практически относятся к одной марке ПБВ 90 и удовлетворяют требованиям ОСТ 218.010-98 и проекта ГОСТ Р.

При этом применение полимера радиальной структуры (ДСТ-30Р-01) по сравнению с применением полимера линейной структуры (ДСТ-30-01) дает весьма незначительные преимущества, выраженные в несколько повышенной эластичности и теплостойкости.

Сопоставление свойств ПБВ на основе полимеров радиального строения (ДСТ-30Р-01, Кратона Д 1184 и Финапрена 411) показывает, что применение Кратона, и особенно Финапрена, приводит к заметному снижению теплостойкости ПБВ (в пределах одной марки) при повышении эластичности при 0°С и растяжимости как при 0°С, так и при 25°С. Это, очевидно, обусловлено более высоким относительным удлинением самих полимеров. Эти преимущества проявляются и при сопоставлении свойств ПБВ, приготовленных без пластификатора на основе битума марки БНД 200/300. Кроме того, видно, что без пластификатора даже на основе наименее вязкого битума с содержанием полимера 3% не удается получить ПБВ с требуемым комплексом свойств.

 


Таблица 9

Показатели физико-механических свойств битума и ПЕВ

Наименование образца

Наименование показателей

Глубина проникания иглы, 0,1 мм, при температурах

Растяжимость, см, при температурах

Температура, °С

Изменение после прогрева 163°С, 5 ч, 4 мм

Сцепление выдерживает по контрольному образцу № с

Эластичность, %, при температурах

25°С

0°С

25°С

0°С

размяг-
чения

хруп-
кости

вспышки

массы, %

Температуры размягчения, °С

мрамором

песком

25°С

0°С

Битум марки БНД 60/90 (инд. 1003)

68

24

>100

4,3

52

-15

279

0,01

2

1

3

-

-

ПБВ 90 на битуме марки БНД 60/90, ДСТ-30Р-01

114

71

48

34

56

-26

251

0,08

1

1

3

90

79

ПБВ 90 на битуме марки БНД 60/90, ДСТ-30-01

110

74

51

32

57

-27

246

0,09

2

1

3

92

81

ПБВ 90 на битуме Финапрен 411

128

77

72

52

53

-25

246

0,07

2

1

3

86

92

ПБВ 90 на битуме Кратон Д 1184

112

63

63

44

52

-27

254

0,04

3

1

3

85

80

Битум марки БНД 200/300

224

48

72

28

36

-20

-

-

-

3

3

-

-

ПБВ на битуме марки БНД 200/300 и ДСТ-30Р-01

154

54

50

60

52

-22

282

-

0

1

3

73

85

ПБВ на битуме марки БНД 200/300 и ДСТ-30-01

161

51

48

62

54

-21

284

-

1

1

3

71

82

ПБВ на битуме марки БНД 200/300 и Финапрен 411

126

49

88

82

50

-19

288

0,02

5

1

3

96

89

ПБВ на битуме марки БНД 200/300 и Кратон Д 1184

150

48

>100

68

66

-21

-

-

-13

1

3

95

81

Таблица 10

Показатели физико-механических свойств ПБВ на основе 18,92%-ного раствора полимера в индустриальном масле марки И-40А (состав ПБВ: 3,5% полимера и 15% масла марки И-40А)

Состав ПБВ

Молекулярная масса полимера

Наименование показателей

Глубина проникания иглы, 0,1 мм, при температурах

Растяжимость, см, при температурах

Температура размягчения по КиШ, °С

Температура хрупкости по Фраасу, °С

Сцепление, баллы, с

Температура вспышки, °С

Эластичность, %, при температурах

Время приготовления 18,92%-ного раствора полимера, мин

25°С

0°С

25°С

0°С

мрамором

песком

25°С

0°С

ПБВ на основе раствора Финапрена (партия 411)

300000

147

86

69

60

53

-26

5

3

257

91,8

82,0

40

ПБВ на основе раствора Финапрена (партия 416)

160000

134

78

19

24

61

-25

5

2

260

85,1

76,0

20

ПБВ на основе раствора Финапрена (партия 417)

115000

140

79

26

21

54

-29

5

2

265

81,6

75,5

55

ПБВ на основе раствора Финапрена (партия 502)

120000

151

81

55

35

52

-31

5

2

252

88,5

75,0

15

ПБВ; на основе раствора ДСТ-30Р-01

80000-

100000

129

77

45

.42

56

-28

5

2

246

85,5

80,0

30

ПБВ: на основе раствора Кратона Д 1184

 

126

70

60

54

51

-30

5

2

258

85,9

81,4

40

 


Тем не менее, качество полимера, отраженное в его марке, может оказывать существенное влияние на свойства ПБВ. В табл. 10 для иллюстрации этого вывода приведены свойства ПБВ с содержанием блоксополимеров типа СБС в количестве 3,5%. При этом использован Финапрен с различной молекулярной массой, в том числе Финапрен 416 и Финапрен 417, которые не рекомендованы к применению для приготовления ПБВ. Как видно из приведенных данных, именно ПБВ, приготовленные на основе Финапрена 416 и Финапрена 417, не удовлетворяют требованиям ОСТ 218.010-98: показатель растяжимости при 25°С ниже нормы.

7. ИССЛЕДОВАНИЕ СВОЙСТВ ПБВ БЕЗ ПЛАСТИФИКАТОРА

Для выяснения возможности приготовления ПБВ без применения пластификаторов в качестве исходного выбран, как это принято за рубежом (в Европе и США), наименее вязкий из всех дорожных битумов - битум марки БНД 200/300 (инд. 1516). ПБВ готовили введением полимера марки ДСТ-30Р-01 (партия 135) и Финапрена 502 в виде крошки в битум, нагретый до 155 - 160°С, при перемешивании с помощью лабораторной механической мешалки.

Результаты испытаний представлены в табл. 11 и на рис. 7, 8; для сопоставления приведены результаты испытания ПБВ, полученных на основе битума марки БНД 60/90 без пластификатора.

Анализ приведенных данных подтверждает, что достаточно около 2,5% блоксополимеров типа СБС для образования структурной сетки полимера во всем объеме битума марки БНД 200/300. При этом вяжущее приобретает максимально возможную для данной системы значительную величину эластичности, т.е. принципиально новое по сравнению с битумом качество, обусловленное новой структурой, и может по праву называться ПБВ.

Важно отметить, что для ПБВ на вязком битуме эластичность меньше, чем для ПБВ на маловязком, что объясняется большим объемом асфальтеновых комплексов в вязком битуме, которые, как было показано в более ранних исследованиях, препятствуют развитию эластических деформаций. При увеличении содержания полимера выше 5% в битуме марки БНД 60/90 резко падает эластичность (см. рис. 7,в, г), что обусловлено, по-видимому, невозможностью полного распределения полимера, ввиду недостаточного объема углеводородов в дисперсионной среде битума.


Таблица 11

Показатели физико-механических свойств вяжущих

Наименование образца

Наименование показателей

Глубина проникания иглы, 0,1 мм, при температурах

Растяжимость, см, при температурах

Температура размягчения по КиШ, °С

Температура хрупкости по Фраасу, °С

Сцепление, баллы, с

Изменение температуры размягчения после прогрева при 163°С, 5 ч, 4 мм

Эластичность, %, при температурах

Интервал работоспособности, °С

25°С

0°С

25°С

0°С

мрамором

песком

25°С

0°С

 

1

2

3

4

5

6.

7

8

9

10

11

12

13

Битум марки БНД 200/300 (инд.1516)

216

69

71

15

43

-23

5

2

3

-

-

66

Битум марки БНД 200/300 2% ДСТ-30Р-01

135

53

24

15

50

-23

4

1

1

73

59

73

Битум марки БНД 200/300 +3,5% ДСТ-30Р-01

104

52

50

32

64

-21

5

3

2

89

79

85

Битум марки БНД 200/300 +5% ДСТ-30Р-01

84

47

48

35

70

-19

5

3

4

89

81

89

Битум марки БНД 200/300 + 7% ДСТ-30Р-01

74

48

45

56

78

-39

5

4

3

92

88

117

Битум марки БНД 200/300+ 2% Финапрена 502

144

53

25

17

50

-25

5

3

2

74

58

75

Битум марки БНД 200/300+3,5% Финапрена 502

113

47

60

42

62

-22

5

3

2

90

81

84

Битум марки БНД 200/300+5% Финапрена 502

91

48

56

49

71

-20

5

3

4

91

81

91

Битум марки БНД 200/300+7% Финапрена 502

77

45

65

65

77

-42

5

4

4

93

84

119

Битум марки БНД 60/90 (инд. 1003)

68

24

>100

4

52

-15

5

2

2

-

-

67

Битум марки БНД 60/90+ 2% ДСТ-30Р-01

46

25

28

7

57

-12

5

2

2

62

43

69

Битум марки БНД 60/90+ 3,5% ДСТ-30Р-01

40

23

63

9

59

-14

5

2

3

82

54

73

Битум марки БНД 60/90+ 5% ДСТ-30Р-01

35

25

39

15

71

-12

5

1

3

83

60

83

Битум марки БНД 60/90+ 7% ДСТ-30Р-01

55

34

27

7

58

-14

-

-

3

53

37

72

 


Как видно из рис. 8,а, уже при содержании полимера в вязком битуме в количестве 3%, качество ПБВ судя по значениям глубины проникания иглы при 25°С выходит за пределы требований к дорожным маркам. Это означает, что возможны технологические трудности при его применении из-за высокой вязкости. Повышение же температуры ПБВ более 160°С приведет к резкой интенсификации процессов старения битума.

Качество ПБВ на основе маловязкого битума находится в пределах требований к дорожным маркам ПБВ во всем рассматриваемом диапазоне концентраций полимера. Однако при этом (см. рис. 7,б) требуется явно больше 5% полимера для того, чтобы повысить трещиностойкость (Тхр) и деформативность ПБВ по сравнению с исходным битумом марки БНД 200/300 и явно больше 7% полимера для битума марки БНД 60/90. Так, для того, чтобы обеспечить требуемую температуру хрупкости ПБВ, равную минус 25°С, необходимо ввести 6% ДСТ или Финапрена в битум марки БНД 200/300. В то время как для этой цели достаточно ввести в битум БНД 60/90 полимера всего 3% и пластификатора (масла) - 10%. При этом удорожание вяжущего в первом случае составит около 200%, а во втором - лишь около 100%. Кроме того, ПБВ без пластификатора характеризуется (табл. 12) очень высокой вязкостью при технологических температурах, что может отрицательно повлиять на удобоукладываемость и удобоуплотняемость полимерасфальтобетонных смесей на его основе. Тем не менее, из приведенных данных очевидно, что, если требуемая температура хрупкости ПБВ находится в пределах минус 20 - минус 22°С, вполне можно приготавливать ПБВ на основе битума марки БНД 200/300 без пластификатора с минимальным содержанием блоксополимера типа СБС - около 2,5% по массе.

Рис. 7. Зависимость температуры размягчения (а), температуры хрупкости (б) и эластичности (в, г) ПБВ, приготовленных без пластификатора, от содержания полимера:

1 -  - БНД 60/90 + ДСТ; 2 -  - БНД 200/300+ДСТ; 3 -  - БНД 200/300 + Финапрен

Рис. 8. Зависимость глубины проникания иглы (а, б) и растяжимости (в, г) ПБВ, приготовленных без пластификатора, от содержания полимера:

I -  - БНД 60/90 + ДСТ; 2 -  - БНД 200/300 + ДСТ; 3 -  - БНД 200/300 + Финапрен

Таблица 12

Показатели условной вязкости ПБВ на основе битума из КНР «Хуаньсилин 70» (Х70)*

Наименование и состав ПБВ

Условная вязкость, с, при температурах

Температура приготовления ПБВ; °С

Индекс битума

Содержание компонентов, %

160°С

180°С

битум

СБС (инд.4303)

масло марки И-40А

Х70

100

0

0

6,0

4,4

170-175

Х70

97

3,0

0

13,0

7,0

175-180

Х70

95

5,0

0

18,4

14,2

175-180

Х70

93

7,0

0

47,4

48,0

175-180

Х70

92

8,0

0

47,4

65,2

175-180

Х70

90

10,0

0

138,4

47,6

175-180

Х70

93

7,0

0

32,4

18,4

175-180

Х70

88

-

12

4,0

3,4

170

Х70

85

3,0

12

8,4

4,6

170-175

Х70

84,5

3,5

12

8,4

5,2

170-175

Х70

84

4,0

12

8,6

5,8

170-175

Х70

83,5

4,5

12

11,8

7,0

170-175

Х70

83

5,0

12

13,4

8,0

170-175

Х70

82,5

5,5

12

13,4

6,6

170-175

Х70

82

6,0

12

10,2

6,2

170-175

Х70

81,5

6,5

12

11,6

5,6

170-175

Х70

84

0

16

4,2

3,0

175-180

Х70

81

3

16

6,2

5,4

175-180

Х70

80

4

16

9,2

6,8

175-180

Х70

79

5

16

14,4

9,4

175-180

Х70

78

6

16

13,8

8,4

175-180

Х70

77

7

16

15,2

10,8

175-180

* Удовлетворяет требованию ГОСТ 22245-90 к битуму марки БН 60/90.

Эти данные свидетельствуют также о том, что при приготовлении ПБВ по второму способу: введение полимера в виде порошка или крошки в битум, заранее пластифицированный маслом, можно в качестве исходного выбирать битум марки БНД 200/300, вводить в него минимально необходимое количество масла для обеспечения требуемой температуры хрупкости, а затем добавить минимально необходимое количество полимера для обеспечения требуемой эластичности и теплостойкости.

В случае приготовления ПБВ на нефтеперерабатывающих заводах (НПЗ) в качестве исходного может быть применен битум не доокисленный до консистенции, соответствующей дорожной марке, но имеющий требуемую температуру хрупкости.

Из приведенных данных следует, что процесс образования пространственной структуры в ПБВ связан с весьма резким снижением растяжимости вяжущего при 25°С, что во всех случаях свидетельствует о повышении степени структурированности вяжущего (см. рис. 8,в), а специфика образующейся новой структуры проявляется в резком повышении его эластичности при 25°С (см. рис. 7,в), свидетельствуя об образовании именно эластичной структуры, которая оказывается вполне работоспособной при низких температурах (см. рис. 7,г), несмотря на то, что массовое содержание полимера в системе всего 0,025 части. При этом работоспособность полимерной сетки проявляется не только в эластичности, но одновременно, и весьма заметно, повышается пластичность вяжущего при низких температурах - растет растяжимость при 0°С (см. рис. 8,г) и расширяется температурный интервал работоспособности.

Таким образом, можно констатировать, что для приготовления ПБВ могут использоваться битумы типа БНД любой марки. Из приведенных данных следует, что если в процессе производства работ при приготовлении ПБВ используется битум менее вязкий, чем битум марки БНД 60/90, то скорее всего не потребуется корректировка его состава, а если используется более вязкий битум, то придется увеличить содержание пластификатора.

Таким образом, необходимо отметить, что применение битума марки БНД 40/60 в качестве исходного нежелательно, так как это потребует повышения содержания масла в ПБВ минимум на 5 - 8% (см. табл. 1).

Необходимо отметить, что анализ многолетних данных по исследованию физико-механических свойств ПБВ на основе других битумов и пластификаторов показывает, что для образования пространственной структурной сетки в ПБВ на основе битумов типа БНД необходимо минимум 2 - 2,5% ДСТ-30Р-01. В битумах типа БН согласно ГОСТ 22245-90, получаемых окислением сырья с вязкостью более 40 с, или в остаточных битумах, которые получают за рубежом методом глубокой вакуумной дистилляции, минимальное содержание ДСТ-30Р-01 или других блоксополимеров типа СБС составляет 3,5 - 4%. При этом факт образования пространственной структурной сетки прослеживается по характерным перегибам (изменению наклона) концентрационной зависимости показателя эластичности при 25°С, что происходит, как правило, при величине этого показателя около 75 - 80%.

Увеличение содержания ДСТ и других блоксополимеров типа СБС в ПБВ выше указанного минимума оказывается необходимым в следующих случаях:

- для повышения показателей температуры размягчения, эластичности и растяжимости при 0°С;

- иногда при работе с маловязкими битумами;

- при работе с битумами типа БН и I структурного типа.

Увеличение содержания пластификатора - индустриального масла - оказывается, как правило, необходимым в следующих случаях:

- для снижения температуры хрупкости;

- для повышения эластичности;

- при работе с высоковязкими битумами (например, марки БНД 40/60);

- при работе с битумами типа БН и I структурного типа;

- для повышения растяжимости при 0°С;

- для повышения однородности ПБВ и производительности труда при приготовлении ПБВ, полимерасфальтобетонных смесей;

- для повышения удобоукладываемости и уплотняемости полимерасфальтобетонных смесей.

8. ИССЛЕДОВАНИЕ СВОЙСТВ ПБВ С ИСПОЛЬЗОВАНИЕМ В КАЧЕСТВЕ ПЛАСТИФИКАТОРА ГУДРОНА

Ранее было показано, что гудрон, соответствующий требованиям ТУ 38.101582-88 «Сырье для производства нефтяных вязких дорожных битумов», марок СБ может быть использован в качестве пластификатора для приготовления ПБВ. При этом, к сожалению, не удается добиться требуемой трещиностойкости ПБВ для обеспечения требований, предъявляемых к маркам ПБВ 90, ПБВ 130, ПБВ 200 и ПБВ 300. Кроме того, при определении температуры хрупкости (Тхр) по Фраасу для ПБВ, содержащего в качестве пластификатора СБ, на пластинке вместо одной трещины иногда вначале появляется несколько волосяных трещин, поэтому не удается однозначно определить величину Тхр. Тем не менее, этот пластификатор заметно дешевле индустриального масла, поэтому; в данной работе исследовано ПБВ, где в качестве пластификатора применена также смесь масла и СБ.

Гудрон (сырье марки СБ 20/40) получен с Московского НПЗ, показатели свойств приведены в табл. 13. Такой материал продается потребителю в достаточно больших объемах по цене, не превышающей стоимость битума.

Результаты проведенных испытаний представлены в табл. 14 и 15 и на рис. 9.

Гудрон соответствует требованиям ТУ 38.101582-88 с изменениями 1 и 2.

Как видно из табл. 13, температура хрупкости СБ составляет минус 28°С, в то время как требуемая температура хрупкости ПБВ 90, рекомендуемая для Москвы и Московской области, должна быть не выше минус 25°С, поэтому даже при большом содержании СБ в ПБВ трудно ожидать заметного улучшения этого показателя. Введение СБ в ПБВ в количестве до 30% при содержании ДСТ 3,5% подтверждает это предположение. При этом отсутствует и заметное повышение теплостойкости ПБВ, что характеризует СБ как худший, нежели индустриальное масло, пластификатор.

Таблица 13

Показатели свойств гудрона (инд. 1675) с Московского НПЗ

Наименование показателей

Величина показателей

Условная вязкость, , с

24

Температура размягчения по КиШ, °С

39

Растяжимость, см, при температурах:

 

25°С

16

0°С

84

Температура хрупкости, °С

-28

Температура вспышки, °С

280

Изменение температуры размягчения после прогрева, °С

-1

Сцепление с мрамором или песком

Выдерживает по контрольному образцу № 2

Введение в СБ масла марки И-40А в количестве 20% позволяет получить пластификатор с температурой хрупкости минус 35°С (см. табл. 14 и рис. 9). Однако применение такого пластификатора для ПБВ приводит к заметному снижению теплостойкости ПБВ, а температура хрупкости не достигает требуемой величины даже при увеличении содержания такого пластификатора до 40% по массе (см. табл. 14). Важно отметить, что при таком содержании данного пластификатора не удается получить не только ПБВ 90, но и ПБВ 300, так как его температура размягчения равна всего лишь 39°С.

Увеличение содержания доли масла в смешанном пластификаторе до 75% при его содержании в ПБВ, равном 10%, также не позволило получить ПБВ с требуемой температурой хрупкости.

Таблица 14

Показатели физико-механических свойств вяжущих

№ серии

Состав образца

Содержание, %

Температура, °С

ДСТ-30Р-01 (партия 135)

СБ

масло марки И-40А

размягчения

хрупкости

1

СБ (инд.1675)

0

0

0

39

-28

СБ+5% масла марки И-40А

0

0

5

36

-25

СБ+10% масла марки И-40А

0

0

10

36

-28

СБ+15% масла марки И-40А

0

0

15

25

-33

СБ+20% масла марки И-40А

0

0

20

18

-35

2

Битум марки БНД 60/90 (инд. 1003)

0

0

0

51

-15

Битум марки БНД 60/90+3,5% ДСТ

3,5

0

0

59

-14

Битум марки БНД 60/90+3,5% ДСТ+20% (СБ+20% масла И-40А)

3,5

16

4

46

-18

Битум марки БНД 60/90+3,5% ДСТ+30% (СБ+20% масла И-40А)

3,5

24

6

41

-21

Битум марки БНД 60/90+3,5% ДСТ+40% (СБ+20% масла И-40А)

3,5

32

8

39

-23

3

Битум марки БНД 60/90+3,5% ДСТ+10% (СБ+50% масла И-40А)

3,5

5

5

47

-19

Битум марки БНД 60/90+3,5% ДСТ+10% (СБ+75% масла И-40А)

3,5

2,5

7,5

47

-19

4

Битум марки БНД 60/90+3,5% ДСТ+10% СБ

3,5

10

0

60

-13

Битум марки БНД 60/90+3,5% ДСТ+20% СБ

3,5

20

0

61

-13

Битум марки БНД 60/90+3,5% ДСТ+30% СБ

3,5

30

0

61

-13

5

Битум марки БНД 60/90+3,5% ДСТ+10% СБ +2% масла И-40А

3,5

10

2

57

-14

Битум марки БНД 60/90+3,5% ДСТ+10% СБ +4% масла И-40А

3,5

10

4

56

-17

Битум марки БНД 60/90+3,5% ДСТ+10% СБ +6% масла И-40А

3,5

10

6

54

-19

Битум марки БНД 60/90+3,5% ДСТ+10% СБ +11% масла И-40А

3,5

10

11

66

-26

Битум марки БНД 60/90+3,5% ДСТ+10% СБ +12% масла И-40А

3,5

10

12

57

-28

Примечание. Для приготовления образцов серии 1 в качестве исходного материала было использовано сырье битумное (СБ) (инд.1 675); серий 2, 3, 4 и 5 - битум марки БНД 60/90 (инд. 1003).


Таблица 15

Показатели физико-механических свойств вяжущих

Наименование исходного материала

Содержание, %

Наименование показателей

 

Глубина проникания иглы, 0,1 мм, при температурах

Растяжимость, см, при температурах

Температура, °С

Изменение после прогрева 163°С, 5 ч, 4 мм

Сцепление выдерживает по контрольному образцу № с

Эластичность, %, при температураx

ДСТ-30Р-01

СБ

Масло марки И-40А

25°С

0°С

25°С

0°С

размягчения

хрупкости

вспышки

массы, %

температуры размягчения, °С

мрамором

песком

25°С

0°С

 

СБ (инд. 1675)

-

-

-

Условная вязкость  = 24

16

84

39

-28

280

0

-1

2

3

-

-

 

Битум марки БНД 60/90 (инд. 1003)

-

-

-

68

24

>100

4,3

51

-15

-

0

3

2

2

 

-

 

Битум марки БНД 60/90 (инд. 1003)

3,5

-

-

40

23

63

8,8

59

-14

-

0,02

3

1

3

82

54

 

То же

3,5

10

11

157

69

49

50

64

-27

-

0,08

-1

2

3

94

90

 

.-"-.

3,5

10

12

133

65

53

36

57

-28

-

0,08

4

1

3

94

85

 

.-"-.

3,6

10

12

126

68

51

38

59

-27

-

0,08

3

1

3

96

82

 

 


Рис. 9. Зависимость температуры размягчения (а) и температуры хрупкости (б) битумного сырья и ПБВ от содержания пластификатора:

1 -  - СБ; 2 -  - БНД 60/90 (инд. 1003)+3,5% ДСТ; 3 -  - БНД 60/90 (инд. 1003)+3,5% ДСТ+10% СБ

Только лишь увеличение содержания пластификатора до 21 - 22% и концентрации масла в нем более 50% дало возможность получить ПБВ 90 с достаточно большим запасом по всем показателям, но при несколько большем содержании полимера - 3,6% вместо 3,5%. Увеличить содержание полимера пришлось в связи с тем, что глубина проникания иглы при 25°С была более 130·0,1 мм. Однако ПБВ, содержащее 3,5% данного пластификатора, удовлетворяет требованиям ОСТ 218.010-98 «Вяжущие полимерно-битумные дорожные на основе блоксополимеров тип 4 СБС. Технические условия» к марке ПБВ 90.

9. СОПОСТАВЛЕНИЕ СТАНДАРТНЫХ ПОКАЗАТЕЛЕЙ СВОЙСТВ БИТУМОВ И ПБВ

Были сопоставлены результаты испытаний около 1000 образцов ПБВ всех марок, регламентированных ОСТ 218.010-98, приготовленных в лаборатории органических вяжущих материалов Союздорнии, заводских условиях, НПО «Космос» для МКАД и других объектов, таких как МКАД - Кашира, подъезд к Шереметьево-2, М1 «Беларусь» и других, и подтверждены преимущества ПБВ по сравнению с битумами.

При сопоставлении норм для ПБВ и битумов (табл. 16) видны значительные преимущества ПБВ. Для ПБВ, аналогичных по консистенции битумам марок БНД, согласно ГОСТ 22245-90, температура размягчения, характеризующая теплостойкость вяжущего, выше на 5 - 12°С (10 - 35%); температура хрупкости по Фраасу, характеризующая трещиностойкость вяжущего, лучше на 3 - 20°С (25 - 100%) и охватывает весь диапазон минимальных температур наиболее холодных суток, зарегистрированных в России; глубина проникания иглы при 0°С, характеризующая деформативность вяжущего, выше на (12 - 45)·0,1 мм (43 - 100%); растяжимость при 0°С, характеризующая пластичность вяжущих при низкой температуре и косвенно устойчивость к образованию температурных трещин, выше на 5 - 14 см (25 - 275%); введены новые показатели качества вяжущего: эластичность при 25°С и 0°С, которые характеризуют отличительную особенность ПБВ от битумов.

Таблица 16

Технические требования к вяжущим

Наименование показателей

Нормы по маркам

ПБВ 300

БНД 200 / 300

ПБВ 200

БНД 130 / 200

ПБВ 130

БНД 90/130

ПБВ 90

БНД 60/90

ПБВ 60

БНД 40/60

ПБВ 40

Глубина проникания иглы, 0,1 мм, не менее, при температурах:

 

 

 

 

 

 

 

 

 

 

 

25°С

300

201 - 200

200

131 – 200

130

91 – 130

90

61 – 90

60

40 - 60

40

0°С

90

45

70

35

50

28

40

20

 

 

 

Температура размягчения по КиШ, °С, не ниже

45

35

47

40

49

43

51

47

54

51

56

Растяжимость, см, не менее, при температурах:

 

 

 

 

 

 

 

 

 

 

 

25°С

30

-

30

70

30

65

30

55

25

45

15

0°С

25

20

25

6

20

4

15

3,5

11

-

8

Температура хрупкости, °С, не выше

-40

-20

-35

-18

-30

-17

-25

-15

-20

-12

-15

Эластичность, %, не менее, при температурах:

 

 

 

 

 

 

 

 

 

 

 

25°С

85

-

85

-

85

-

85

-

80

-

80

0°С

70

 

75

 

75

 

74

 

70

 

70

Изменение температуры размягчения после прогрева, °С, не более

7

7

7

6

6

5

6

5

5

5

5

Температура вспышки, °С, не ниже

220

220

220

220

220

230

230

230

230

230

230

Сцепление с мрамором или песком

Выдерживает по контрольному образцу № 2

Однородность

Одно-родно

 

Одно-родно

-

Одно-родно

-

Одно-родно

-

Одно-родно

-

Одно-родно

Установленные по этому показателю высокие нормы позволяют отнести ПБВ к классу эластомеров. Битумы относятся к классу термопластов. Снижение величины растяжимости ПБВ при 25°С по сравнению с битумами на 0 - 40 см (0 - 67%) обусловлено иным, нежели для битумов, характером разрыва. В данном случае разрыв имеет эластичный характер, вяжущее тянется полосой в среднем шириной 2 - 4 мм, образуя так называемую «шейку» (по терминологии, принятой для полимеров). Именно такой характер разрыва показателен для эластомеров. Тем не менее, даже при такой величине растяжимости относительное удлинение составляет в основном от 800 до 1100%, что значительно превышает относительные удлинения в пленках вяжущего в реальных условиях эксплуатации.

Средние величины показателей физико-механических свойств лабораторных образцов ПБВ всех марок выше средних показателей свойств товарных битумов всех марок, а по средним величинам таких показателей, как температура размягчения, температура хрупкости, интервал работоспособности, растяжимость и глубина проникания иглы при 0°С, изменение температуры размягчения превышают средние показатели свойств битумов марок БНД соответственно на 40, 104, 60, 290, 300 и 77%, а для наилучших образцов ПБВ соответственно на 56, 160, 84, 350, 360 и 795% (табл. 17),

Что касается заводских образцов марки ПБВ 90 (см. главу 11 табл. 28), то средние показатели таких их свойств, как температура размягчения, температура хрупкости, растяжимость и глубина проникания иглы при 0°С, интервал работоспособности превышают показатели свойств битумов марок БНД 90/130 соответственно на 44, 53, 46, 870, 90%.


Таблица 17

Показатели свойств ПБВ, приготовленных в лаборатории органических вяжущих материалов Союздорнии

Марка ПБВ

Значение показателей

Наименование показателей

Глубина проникания иглы, 0,1 мм, при температурах

Растяжимость, см, при температурах

Температура, °С

Изменение температуры размягчения после прогрева 163°С, 5 ч, 4 мм

Сцепление выдерживает по контрольному образцу № с

Эластичность, %, при температурах

Интервал работоспо-собности, °С

25°С

0°С

25°С

0°С

размяг-
чения

хруп-
кости

вспышки

мрамором

песком

25°С

0°С

ПБВ 300

Средние

388

248

38

47

57

-46

233

+1

2

2

95

94

103

Наилучшие

480

180

32

51

57

-53

233

2

2

2

85

93

110

ПБВ 200

Средние

227

159

37

39

53

-39

246

+1

2

2

89

85

91

Наилучшие

213

197

30

43

65

-42

-

0

-

-

96

98

107

ПБВ 130

Средние

159

100

41

38

59

-33

-

2

2

3

90

83

92

Наилучшие

177

157

31

47

69

-43

-

2

3

3

99

95

112

ПБВ 90

Средние

114

70

40

34

62

-38

247

2

1

3

88

77

110

Наилучшие

129

85

38

65

67

-49

248

0

1

2

85

90

116

ПБВ 60

Средние

76

47

41

21

65

-26

-

1

2

2

85

72

91

Наилучшие

71

51

21

14

73

-39

-

1

-

-

95

77

112

ПБВ 40

Средние

66

39

32

19

64

-19

273

1

1

2

85

72

83

Наилучшие

53

41

15

7

73

-30

-

2

5

2

91

68

103

Изменение показателей свойств ПБВ по сравнению с битумом, %

Средние

+65

+295

-60

+290

+40

+104

+9

+77

-

-

-

-

+59

Наилучшие

+80

+360

-50

+350

+56

+160

+5

+79

-

-

-

-

+84

Примечание. Знак «+» означает улучшение показателей, «-» - ухудшение показателей.


10. ВЛИЯНИЕ ТЕХНОЛОГИЧЕСКОГО РЕЖИМА ПРИГОТОВЛЕНИЯ И ХРАНЕНИЯ ПБВ И РАСТВОРОВ ПОЛИМЕРА НА ИХ СВОЙСТВА

Для приготовления ПБВ по первому способу в обезвоженный битум, нагретый до 155 - 160°С, добавляют необходимое количество раствора ДСТ в масле, нагретого до температуры 130 - 150°С, и перемешивают с помощью механического воздействия до однородного состояния при температуре 155 - 160°С. При этом в ПБВ должно содержаться битума 87%, масла 10% и ДСТ 3% в массовом соотношении. Например, в 1 т ПБВ должно быть 870 кг битума, 100 кг масла и 30 кг ДСТ. По данной схеме раствор ДСТ, содержащий 23% ДСТ и 77% масла, готовится в отдельной емкости заранее. Такая концентрация раствора получается исходя из заданного состава ПБВ, а именно как выраженное в процентах отношение заданного количества ДСТ к заданному количеству масла ; в ПБВ такого раствора должно содержаться 13%, а битума 87%.

Приемлема и другая схема приготовления ПБВ данного состава. В обезвоженный битум, нагретый до 155 - 160°С, добавляют масло и перемешивают до однородного состояния, добиваясь температуры смеси 155 - 160°С, а затем постепенно вводят крошку ДСТ и снова перемешивают до однородного состояния с помощью механического воздействия. Согласно этой схеме, время приготовления ПБВ заметно больше, но она также имеет право на существование, когда требуется получить небольшие количества вяжущего или установка для приготовления ПБВ оборудована одним смесителем. Если же приготовление и транспортирование раствора полимера необходимо и становится реальным (например, для приготовления ПБВ на нескольких АБЗ из привозного раствора), необходимо учитывать возможность его старения.

Учитывая, что перевод полимера в состояние раствора заметно облегчает доступ кислорода к его макромолекулам, что усугубляется высокими технологическими температурами, особое внимание уделили изучению процессов его старения, которые могут привести к деструкции полимера. Если этот процесс имеет место, то должна снижаться молекулярная масса полимера, а следовательно, и вязкость его раствора в масле.

В табл. 18 приведена вязкость раствора полимера в зависимости от его концентрации, т.е. содержания в нем полимера, а в табл. 26 - изменение вязкости раствора в зависимости от времени его выдерживания при температуре 160°С в объеме 0,4 л.

Как видно из приведенных данных, в процессе нагрева заметно снижается вязкость раствора ДСТ, т.е., как и полагали авторы обзорной информации, происходит его старение, вызванное деструкцией полимера.

Таблица 18

Изменение вязкости раствора ДСТ-30Р-01 (партия 135) в зависимости от его концентрации в масле марки И-40А

Концентрация раствора ДСТ-30Р-01, %

, c

, %

, %

10

4

1,4

21

15

7,5

2,65

39,5

20

19

6,7

100

25

62

21,9

 

30

180

63,6

 

35

283

100

 

С практической точки зрения происходит снижение содержания эффективного полимера. Например, за 10 ч прогрева вязкость раствора снижается приблизительно на 40% (см. табл. 19). Это соответствует снижению концентрации раствора ДСТ на 3,33%, т.е. концентрация стала равной 16,7%. Следовательно, в каждой тонне раствора будет как бы недоставать 33 кг ДСТ, что приведет к большому убытку в денежном выражении.

Таблица 19

Изменение вязкости 20%-ного раствора ДСТ-30Р-01 (партия 135) в масле марки И-40А в зависимости от времени его прогрева при 160°С

Время прогрева, ч

, с

, %

0

29

100

5

22,5

77,6

10

17,5

60,3

15

14,5

50

20

18,5

63,8

25

18,5

63,8

30

12,5

43

35

17,5

60,3

40

9

31

45

5,1

17,6

Для того, чтобы более наглядно продемонстрировать как меняется качество ПБВ, приготовленного на основе такого раствора, сопоставим свойства двух вяжущих, результаты испытания которых представлены в табл. 20.

Как видно из представленных данных для ПБВ, приготовленного на состарившемся растворе (т.е. растворе, в котором содержится такое же количество полимера, но он явно подвергся частичной деструкции и его молекулярная масса, по-видимому, стала ниже), свойства вяжущего заметно ухудшились. Так, ниже стала температура размягчения - снизилась теплостойкость; уменьшилось абсолютное значение температуры хрупкости - снизились трещиностойкость и весьма заметно деформативность (глубина проникания иглы при 0°С); резко упала растяжимость при 0°С - ухудшились деформативность и пластичность вяжущего при низких температурах. Следует отметить, что наиболее чувствительными к старению раствора (деструкции полимера в нем) оказались температуры хрупкости по Фраасу и показатель эластичности при 0°С - они стали ниже требований, предъявляемых к ПБВ.

Таблица 20

Показатели свойств ПБВ, приготовленных на основе исходного и состарившегося растворов ДСТ-30Р-01 (партия 135)

Наименование образца

Наименование показателей

Глубина проника-ния иглы, 0,1 мм, при темпе-ратуpax

Растяжи-мость, см, при темпе-ратурах

Темпе-ратура размяг-чения по КиШ, °С

Темпе-ратура хрупкос-ти по Фраасу, °С

Сцепление, баллы, с

Изменение после прогрева при 163°С, 5 ч, 4 мм

Эластич-ность, %, при темпе-ратурах

25°С

0°С

25°С

0°С

мрамором

песком

массы, %

температуры размягчения, °С

25°С

0°С

ПБВ на обычном растворе

114

71

49

34

56

-25

5

3

0,08

1

90

79

ПБВ на растворе, прогретом в течение 10 ч

120

55

47

19

53

-21

-

-

0,03

0

89

60

Из полученных данных следует, что необходимо сократить время пребывания раствора при высокой температуре и, по возможности, снизить температуру как при приготовлении, так и при его транспортировке и хранении.

Один из возможных вариантов - хранение и транспортирование раствора ДСТ в холодном виде в форме брикетов или затаренного в специальные мешки, хорошо растворимые в битуме при 155 - 160°С. Можно также готовить растворы ДСТ в среде инертного газа в герметичных емкостях, чтобы исключить доступ кислорода воздуха к полимеру.

Не менее важное значение имеет время пребывания готового ПБВ при рабочих температурах (не выше 160°С). На сегодняшний день авторы обзора ограничивают время пребывания ПБВ в рабочем котле 8 ч, а температуру - 160°С.

Ниже приведены данные лабораторных исследований по старению ПБВ, приготовленного на основе битума и индустриального масла марки И-40А.

Как видно из табл. 21 и рис. 10 и 11, в процессе выдерживания ПБВ в течение длительного времени в термостате при температуре 160 и 180°С в объеме 0,4 л происходят заметные изменения показателей его свойств по весьма сложным полиэкстремальным зависимостям. Как правило, более интенсивно эти изменения происходят при температуре 180°С, чем при 160°С.

Предварительный анализ этих данных позволяет сделать предположение, что в процессе выдерживания ПБВ при высокой температуре в его объеме происходит образование (формирование) би-, а затем и полидисперсных частиц дисперсной фазы, что сопровождается увеличением, а затем уменьшением объема частиц дисперсной фазы в ПБВ, что, в свою очередь, и вызывает полиэкстремальное изменение показателей свойств ПБВ.

Прогрев ПБВ 90 и битума БНД 60/90 в слое толщиной 0,33 мм при температуре 170°С показал, что температура хрупкости по Фраасу для ПБВ 90 через 1 ч повысилась (ухудшилась) с минус 26°С до минус 24°С, а через 4 ч до минус 18°С, т.е. на 8% и 30% соответственно, а для битума - повысилась (ухудшилась) с минус 15°С до минус 13°С и минус 8°С соответственно, т.е. на 13% и 47% соответственно. Следовательно, битум стареет более интенсивно, чем ПБВ.

Таблица 21

Показатели свойств ПБВ (4,5% ДСТ-30Р-01 + 15% масла марки И-40А) в процессе старения (объем 0,4 л)

Температура, °С

Время прогрева, ч

Глубина проникания иглы, 0,1 мм, при температурах

Растяжимость, см, при температурах

Температура размягчения, °С

Температура хрупкости, °С

Эластичность, %, при температурах

Сцепление, баллы, с

 

25°С

0°С

мрамором

песком

25°С

0°С

25°С

0°С

 

 

0

101

70

46

33

71

-32

97

83

5

2

 

160

5

91

42

45

16

65

-27

98

82

5

2

 

 

10

96

65

36

22

65

-35

96

87

5

3

 

 

15

98

71

32

28

66

-33

97

84

5

3

 

 

20

99

57

21

20

66

-38

97

82

4

2

 

 

25

97

58

38

31

67

-34

98

92

5

3

 

 

35

88

76

44

31

67

-29

99

88

5

3

 

180

5

111

72

37

20

69

-35

99

84

4

2

 

 

10

116

65

36

25

68

-32

96

84

4

2

 

 

15

100

81

40

29

69

-30

99

84

5

4

 

 

20

105

65

31

22

68

-29

96

78

5

2

 

 

25

114

61

31

29

72

-28

97

84

4

3

 

.:

35

99

67

37

24

68

-30

97

88

4

3

 

В производственных условиях при возможных нарушениях технологического режима приготовления или хранения ПБВ следует определить весь комплекс показателей свойств ПБВ в соответствии с предъявляемыми к нему для данных условий требованиями и только затем делать вывод о его пригодности к использованию. В случае, если все показатели соответствуют требованиям, то ПБВ пригодно для применения.

В связи с тем, что ПБВ содержит три компонента, заметно различающихся по величине и плотности, они склонны к расслоению в условиях выдерживания при высоких температурах. В зарубежной практике применения ПБВ на основе СБС без пластификатора это обстоятельство известно, и, чтобы избежать применения неоднородного вяжущего, применяют систематическое побудительное перемешивание каждые 2 - 3 ч.

Для выявления процессов расслоения и старения при выдерживании ПБВ при 160°С приняли следующие материалы и методику. Сопоставили изменение свойств при испытании 4-х типов вяжущих:

• ПБВ, содержащие 3% ДСТ и 10% масла марки И-40А;

• ПБВ, содержащие 3% ДСТ;

• битум, содержащий 10% масла марки И-40А;

• битум исходный марки БНД 90/130 (инд. 1712).

Вяжущие прогревали в металлической емкости вместимостью 500 мл, высотой 16 см и диаметром 6,5 см, условно моделирующей рабочие битумные котлы, при температуре 160°С в течение 5 ч (максимально допустимое время хранения битума при рабочей температуре по СНиП 3.06.03-85), 8 ч (максимально допустимое время хранения ПБВ при рабочей температуре), 24 и 72 ч (сверхнормативное время хранения).

Рис. 10. Изменение глубины проникания иглы (а, б) и растяжимости (в, г) ПБВ (1,5% ДСТ + 15% И-40А) в процессе старения в объеме 0,4 л:

1 -  - время прогрева при температуре 160°С; 2 -  - время прогрева при температуре 180°С

Рис. 11. Изменение температуры размягчения (а), температуры хрупкости (б) и эластичности (в, г) ПБВ (4,5% ДСТ + 15% И-40А) в процессе старения в объеме 0,4 л:

1 -  - время прогрева при температуре 160°С; 2 -  - время прогрева при температуре 180°С

Для оценки степени расслоения вяжущих банку с вяжущим разрезали на три равные части и для вяжущего, находящегося в каждой части, определяли комплекс стандартных показателей.

Результаты испытаний приведены в табл. 22, 23, 24, 25 и на рис. 12 и 13.

Показатели старения определяли как изменение разности между рассматриваемым показателем после и до старения, выраженное в процентах по отношению к величине этого показателя до прогрева. При этом показатель после старения определяли как среднее арифметическое из трех значений, полученных для каждого из трех слоев (частей) вяжущего (верхнего, среднего и нижнего) (табл. 26).

Показатель расслоения определяли, как отношение разности показателей в верхнем и нижнем слоях по отношению к величине исходного показателя, выраженное в процентах (см. табл. 26).

Анализ представленных данных показывает, что в процессе старения изменения показателей свойств для битумов при нормативном времени хранения (5 и 8 ч) находятся на том же уровне, что и для ПБВ с пластификатором, и изменяются в пределах 10 - 15%. ПБВ без пластификатора стареет значительно сильнее, что проявляется в изменении растяжимости при 25°С - она снижается на 24 и 46%. Интересно отметить, что глубина проникания иглы битума через 24 ч изменилась довольно сильно - на 23%.

Анализ представленных данных по расслоению показывает, что за счет расслоения в условиях данного эксперимента показатели свойств вяжущих изменяются значительно сильнее, чем при старении даже за нормативное время хранения. При этом, как видно из рис. 13,в, уже через 5 ч хранения растяжимость ПБВ уменьшается почти в два раза, а при дальнейшем хранении до 8 ч, расслоение уменьшается до 20%. При этом температура хрупкости ПБВ без пластификатора изменяется больше, чем для ПБВ с пластификатором и битумов. Устойчивость к расслоению у битумов и ПБВ с пластификатором при изменении температуры хрупкости практически одинакова.


Таблица 22

Изменение показателей физико-механических свойств битума марки БНД 90/130 (инд. 1712) от продолжительности прогрева

Продолжительность прогрева, ч

Слой вяжущего

Наименование показателей

Глубина проникания иглы, 0,1 мм, при температурах

Растяжимость, см, при температурах

Температура, °С

Интервал работоспособности, °С

Сцепление, баллы, с

Изменение после прогрева при 163°С, 5 ч, 4 мм

Эластичность, %, при 0°С

25°С

0°С

25°С

0°С

размягчения

хрупкости

мрамором

песком

массы, %

температуры размягчения, °С

0

Исходный битум

99

32

90

7

49

-21

70

5

2

0,03

3

-

5

Верхний

89

32

>100

7

48

-20

68

-

-

0,03

4

59,3

5

Средний

86

32

91

7

50

-18

68

-

-

0

2

61,9

5

Нижний

86

33

96

6,7

48

-19

67

-

-

0,03

4

65,6

 

Среднее значение

87

32,3

95,7

6,9

48,7

-19

67,7

-

-

0,02

3,3

62,3

8

Верхний

92

33

93,5

4,9

49

-19

68

-

-

0,03

3

58,4

8

Средний

88

33

88,5

5,5

49

-20

69

-

-

0,03

2

63,9

8

Нижний

81

35

90,5

6,6

49

-20

69

-

-

0,03

4

56,6

 

Среднее значение

87

33,7

90,7

5,7

49

-19,7

68,7

-

-

0,03

3

59,6

24

Верхний

77

36

>100

8,5

50

-19

68

-

-

0

1

85,7

24

Средний

78

31

>100

6,2

50

-18

68

-

-

0,03

2

87,9

24

Нижний

75

29

>100

5,4

50

-17

67

-

-

0,03

2

85,5

 

Среднее значение

76,7

32

>100

6,7

50

-18

68

-

-

0,02

1,7

86,4

72

Верхний

69

30

>100

6,8

51

-18

69

-

-

0

0

63,2

72

Средний

69

30

>100

7,2

51

-15

66

-

-

0,03

1

57,0

72

Нижний

68

30

>100

6,6

51

-15

66

-

-

0,03

1

58,7

 

Среднее значение

68,7

30

>100

6,9

51

-16

67

-

 

0,02

0,7

59,6

Таблица 23

Изменение показателей физико-механических свойств битума марки БНД 90/130 (инд. 1712) с индустриальным маслом марки И-40А (10%) от продолжительности прогрева

Продолжительность прогрева, ч

Слой вяжущего

Наименование показателей

Глубина проникания иглы, 0,1 мм, при температурах

Растяжимость, см, при температурах

Температура размягчения по КиШ, °С

Температура хрупкости по Фраасу, °С

Интервал работоспо-собности, °С

Изменение после прогрева при 163°С, 5ч, 4мм

Эластичность, %, при 0°С

25°С

0°С

25°С

0°С

массы, %

температуры размягчения, °С

0

Исходный битум с 10% масла

138

75

74

28,7

42

-30

72

0,11

0

-

5

Верхний

137

70

75,7

20,3

40

-28

68

0,34

4

60,5

5

Средний

136

69

71,4

17,2

41

-31

72

0,06

5

57,1

5

Нижний

136

80

70,5

18,2

40

-33

73

0,06

4

52,5

 

Среднее значение

136,3

73

72,5

18,6

40,3

-30,7

71

0,09

43

56,7

8

Верхний

151

88

75,0

18,2

40

-26

66

0,11

6

57,6

8

Средний

144

91

61,1

15,5

40

-25

65

0,08

4

64,6

8

Нижний

142

89

66,5

15,8

42

-30

72

0,08

4

51,6

 

Среднее значение

145,7

89,3

67,3

16,5

40,7

-27

67,7

0,09

4,7

57,9

24

Верхний

134

74

75,3

21,2

43

-25

68

0,14

0

67,0

24

Средний

126

70

74,5

18,0

44

-29

73

0,14

0

58,8

24

Нижний

124

71

82,5

15,8

43

-32

76

0,14

0

61,8

 

Среднее значение

128

71,7

77,4

18,3

43,3

-28,7

72,3

0,14

0

62,5

72

Верхний

130

75

76,8

17,3

44

-26

70

0,08

0

51,0

72

Средний

126

71

94,0

13,8

44

-31

75

0,08

1

55,6

72

Нижний

111

67

76,2

15,9

44

-31

75

0,08

1

54,2

 

Среднее значение

122,3

71

82,3

15,7

44

-29,3

73,3

0,08

0,7

53,,6

Таблица 24

Изменение показателей физико-механических свойств ПБВ на основе битума марки БНД 90/130 (инд.1712) + 3% ДСТ-30Р-01 (партия 135)

Продолжительность прогрева, ч

Слой вяжущего

Наименование показателей

Глубина проникания иглы, 0,1 мм, при температурах

Растяжимость, см, при температурах

Температура размягчения по КиШ, °С

Температура хрупкости по Фраасу, °С

Интервал работо-способ-ности, °С

Сцепление, баллы, с

Изменение после прогрева при 163°С, 5 ч, 4 мм

Эластичность, %, при температурах

25°С

0°С

25°С

0°С

мрамором

песком

массы, %

температуры размягчения, °С

25°С

0°С

0

ПБВ 40

67

34

57

10

66

-15

81

-

-

0,06

4

94

74

5

Верхний

63

47

56

18

69

-19

88

3

4

0

1

98

81

5

Средний

62

40

23

11

61

-15

76

3

4

0,06

2

80

74

5

Нижний

61

34

51

10

63

-15

78

3

4

0,03

-1

93

73

 

Среднее значение

62

40,3

43,3

13

64,3

-16,3

80,7

3

4

0,03

0,7

89

76

8

Верхний

57

40

48

18

67

-18

85

-

-

0

4

96

81

8

Средний

58

37

22

10

61

-16

77

-

-

0

4

80

74

8

Нижний

58

35

23

8

62

-15

77

-

-

0,03

1

83

76

 

Среднее значение

57,7

37,3

31

12

63,3

-16,3

79,7

-

-

0,01

1,6

86,3

77

24

Верхний

91

51

53

71

82

-26

108

-

-

0

-4

100

91

24

Средний

58

25

21

3

57

-10

67

-

-

0

3

62

-

24

Нижний

46

23

21

3

56

-11

67

-

-

0

3

58

-

 

Среднее значение

65

33

31,7

25,7

65

-15,7

80,7

-

-

0

0,7

73,3

-

72

Верхний

95

46

50

62

80

-22

102

4

2

0

0

99

86

72

Средний

46

23

29

2,5

57

-8

65

3

2

0,03

3

67

-

72

Нижний

45

22

27

3,0

57

-9

66

3

2

0

3

62

-

 

Среднее значение

62

30,3

35,3

22,5

64,7

-13

77,7

33

2

0,01

2

76

-

Таблица 25

Изменение показателей физико-механических свойств ПБВ на основе битума марки БНД 90/130 (инд. 1712) + 3% ДСТ-30Р-01 (партия 135) + 10% индустриального масла марки И-40А

Продолжительность прогрева, ч

Слой вяжущего

Наименование показателей

Глубина проникания иглы, 0,3 мм, при температурах

Растяжимость, см, при температурах

Температура размягчения по КиШ, °С

Температура хрупкости по Фраасу, °С

Интервал работо-способ-ности, °С

Сцепление, баллы, с

Изменение после прогрева при 163°С, 5 ч, 4 мм

Эластичность, %, при температурах

25°С

0°С

25°С

0°С

мрамором

песком

массы, %

температуры размягчения, °С

25°С

0°С

0

ПБВ 90

153

78

42

39

57

-27

84

5

3

0,08

5

96

83

5

Верхний

153

79

29

42

66

-31

97

-

-

0,03

-2

98

89

5

Средний

161

70

38

32

58

-30

88

-

-

0,06

-6

95

85

5

Нижний

166

70

49

32

55

-26

81

-

-

0,17

2

93

82

 

Среднее значение

160

73

38,7

35,3

59,7

-29

88,7

-

-

0,09

-2

95,3

85,3

8

Верхний

160

80

44

54

64

-31

95

-

-

0,08

3

99

94

8

Средний

151

71

46

18

53

-28

81

-

-

0,11

2

90

75

8

Нижний

150

62

52

25

54

-28

82

-

-

0,08

-2

86

75

 

Среднее значение

153,7

71

47,3

32,3

57

-29

86

-

-

0,09

1

91,7

81,3

24

Верхний

172

89

37

57

73

-32

105

-

-

0,06

-1

99

92

24

Средний

152

78

49

17

47

-27

74

-

-

0,11

3

74

64

24

Нижний

149

66

34

18

50

-30

80

-

-

0,06

2

85

65

 

Среднее значение

157,7

77,7

40

30,7

56,7

29,7

86,3

-

-

0,08

13

86

73,7

72

Верхний

211

111

40

63

76

-35

111

-

-

0,14

-1

99

95

72

Средний

125

54

48

17

50

-27

77

-

-

0,11

1

86

60

72

Нижний

110

60

91

17

48

-26

74

-

-

0,08

2

91

56

 

Среднее значение

148,7

75

59,7

32,3

58

-29,3

87,3-

-

-

0,11

0,67

92

70,3

 


Рис. 12. Изменение глубины проникания иглы (а), температуры хрупкости (б), температуры размягчения (в) и растяжимости (г) вяжущих при старении:

1 -  - битум; 2 -  - битум +10% И-40А; 3 -  - битум + 3% ДСТ; 4 -  - битум + 3%ДСТ + 10% И-40А

Рис. 13. Изменение температуры хрупкости (а), глубины проникания иглы (б), растяжимости (в) и температуры размягчения (г) вяжущих при хранении;

1 -  - битум; 2 -  - битум +10% И-40А; 3 -  - битум + 3% ДСТ; 4 -  - битум + 3% ДСТ + 10% И-40А

Таблица 26

Изменения показателей физико-механических свойств вяжущих в процессе старения и хранения при температуре 160 С

Наименование вяжущих

Продолжи-
тельность прогрева, ч

Наименование показателей

Глубина проникания иглы при 25°С, %

Температура размягчения, %

Температура хрупкости, %

Растяжимость при 25°С, %

Старение

Хранение

Старение

Хранение

Старение

Хранение

Старение

Хранение

Битум марки БНД 90/130 (инд.1712)

0

0

0

0

0

0

0

0

0

5

-12

3,0

0

0

-10

5,0

6

4,0

8

-12

11,0

0

0

-6,0

-5,0

0,9

3,0

24

-23

2,0

2

0

14,0

10,0

11

0

Битум марки БНД 90/130 (инд. 1712) + 10% масла марки И-40А

0

0

0

0

0

-0

-0

0

0

5

-1,0

0,7

-4

-5

2

-17

-2

7,0

8

6,0

7,0

-3

0

-10

-13

-9

12,0

24

-7,0

7,0

3

0

-4

-23

5

-10,0

Битум марки БНД 90/130 (инд. 1712)+3% ДСТ-30Р-01 (партия 135)

0

0

0

0

0

0

0

0

0

5

-7

3,0

-3

9,0

9

27

-24

9,0

8

-14

-2,0

-4

8,0

9

20

-46

44,0

24

-3

67

-2

-2,0

-4

7

-44

56,0

Битум марки БНД 90/130 (инд.1712) +3% ДСТ-30Р-01 (партия 135) +10% масла марки И-40А

0

0

0

0

0

0

0

0

0

5

5

9,0

5

19

7

19

-8

-48

8

0

7,0

0

18

7

11

-13

-19

24

3

35,0

-1

40

10

7

-5

7

Примечание. Показатель вяжущих при хранении =

=

Показатель старения вяжущих =

=

Таким образом, можно сделать вывод о том, что устойчивость к старению ПБВ с пластификатором практически не отличается от битумов, а устойчивость к расслоению по некоторым показателям выше. В связи с этим при хранении ПБВ при рабочих температурах целесообразно перемешивать их с периодичностью 2 - 3 ч, особенно в случае необходимости сверхнормативного времени хранения.

Важной технологической характеристикой раствора ДСТ является температура вспышки. Результаты проведенных испытаний (табл. 27) показывают, что с увеличением концентрации полимера в растворе Твсп падает. Это необходимо учитывать в процессе производства работ и систематически контролировать этот показатель.

Таблица 27

Температура вспышки раствора ДСТ-30Р-01 (партия 135) в масле марок И-30А и И-40А

Марка масла

Содержание ДСТ-30Р-01 в растворе, %

0

10

15

20

25

30

35

Температура вспышки в открытом тигле, °С

И-40А

227

206

197

195

176

182

161

И-30А

217

194

185

182

162

167

143

По-видимому, с увеличением содержания полимера в растворе он адсорбирует все больше высокомолекулярных компонентов масла, что приводит к увеличению содержания более легких компонентов в свободной дисперсионной среде, а это определяет снижение температуры вспышки раствора.

Возможны два способа приготовления ПБВ. По первому способу полимер предварительно растворяют, приготавливая раствор в соответствии с подбором состава ПБВ. Если вязкость этого раствора при 160°С оказывается очень высокой, настолько, что приближается к предельно допустимой норме по ТУ 2294-007-01393697-95 «Растворы блоксополимеров бутадиена и стирола типа СБС» с изменением № 1, то возможны технологические трудности при его приготовлении, перекачке и транспортировании. Это возможно либо в случае использования блоксополимеров с высокой мольмассой (характеристическая вязкость около 1,4), либо при концентрации раствора полимера (РП) выше 20% по массе. В этих случаях целесообразно снизить концентрацию полимера в растворе путем приготовления битумосодержащего раствора полимера (БРП), используя для этого часть битума, предназначенного для приготовления данного ПБВ. Например, подобранный состав ПБВ состоит из: 1 т ДСТ + 3 т масла + 30 т битума. Следовательно, концентрация ДСТ в растворе 25%. Для приготовления БРП из 30 т битума возьмем 3 т. Тогда концентрация ДСТ в БРП составит 14,3% и его состав: 1 т ДСТ + 3 т масла + 3 т битума. Для приготовления ПБВ необходимо 7 т БРП перемешать с 27 т битума, т.е. состав ПБВ не меняется, а вязкость 14,3%-ного БРП ниже вязкости 25%-ного РП в 1,5 - 2 раза.

11. ИЗУЧЕНИЕ ОПЫТА ПРИМЕНЕНИЯ ПБВ

Основная задача применения ПБВ - повышение долговечности дорожных, мостовых, аэродромных покрытий, устраиваемых с применением органических вяжущих материалов. Это достигается при применении ПБВ за счет повышения трещиностойкости, сдвигоустойчивости, водо- и морозостойкости, усталостной прочности покрытий из полимерасфальтобетона по сравнению с асфальтобетоном на основе традиционно используемых нефтяных дорожных битумов.

В начальный период внедрения при строительстве покрытий дорог, мостов и аэродромов применялись, как правило, жидкие ПБВ, приготовленные с использованием в качестве пластификатора легких растворителей (бензина, газового конденсата, ксилола, сольвента). Позже стали использовать дизельное топливо.

Технологические особенности приготовления и применения полимерасфальтобетонных смесей, приготовленных на жидких ПБВ с использованием легких пластификаторов, таких как дизельное топливо, отражены в ТУ 35-1669-88. Эти ПБВ относятся фактически к жидким вяжущим и для того, чтобы оценить их качество в соответствии с п. 1.1.10 указанных технических условий, их необходимо прогреть в течение 7 ч при температуре 120°С в слое толщиной 3 мм. При применении таких вяжущих заметно повышалась производительность АБЗ, отряда по укладке полимерасфальтобетонной смеси, продлевался строительный сезон, исходя из возможности эффективного уплотнения таких смесей в интервале температур от 90 до 35°С. Однако эти ПБВ имеют весьма важный недостаток - низкую пожарную безопасность.

Предложенные позднее индустриальные масла (более тяжелый пластификатор) позволяют обеспечить требуемую пожарную безопасность на уровне горячих асфальтобетонных смесей. При этом полученные вязкие ПБВ не следует специально прогревать перед определением требуемых проектом ГОСТ Р или ОСТ 218.010-98 показателей, в том числе для марки ПБВ 300, а в качестве пластификаторов предлагается использовать индустриальные масла и гудрон или их смесь. Применение масел было внесено в ТУ 35-1669-88 изменением № 2, зарегистрированным 31 октября 1995 г. При этом вязкость вязких ПБВ всегда выше вязкости битумов с той же глубиной проникания иглы, поэтому их технологические температуры должны быть повышены на 10°С по сравнению с битумами тех же марок. Изменились и температурные режимы укладки и уплотнения полимерасфальтобетонных смесей. Опыт работ на МКАД показал, что для полимерасфальтобетонных смесей типа А на основе ПБВ 90 они находятся в пределах 140 - 90°С. Необходимо учитывать, что в связи с более высокой вязкостью ПБВ полимерасфальтобетонные смеси не следует подравнивать вручную. Устройство покрытия должно осуществляться в сухую погоду, весной и летом при температуре не ниже +5°С, осенью - не ниже +10°С.

За период 1968 - 1971 гг. было проведено широкое опытное строительство участков покрытий автомобильных дорог с целью проверки свойств жидких ПБВ в производственных условиях и отработки технологии их приготовления и применения. Работы проведены практически во всех климатических зонах.

Построено 10 опытных участков общей протяженностью около 9 км (при ширине покрытия 7 м): силами Центрупрдора Минавтодора РСФСР на автомобильных дорогах Ярославль - Горький (1968 г.) и Ногинск - Электросталь (1969 г.); Главдорстроя СССР: Управления дороги Москва - Рига на автомобильной дороге Москва - Рига (г. Великие Луки) в 1969, 1970 и 1971 гг., треста «Юждорстрой» на автомобильной дороге Краснодар - Майкоп в 1970 и 1971 гг., треста «Мурманскдорстрой» на автомобильной дороге Ленинград - Мурманск (участок Лоухи - Кандалакша) в 1970 г.; треста «Оргтехдорстрой» Минавтодора Казахской ССР в районе г. Алма-Аты.

В 1970 г. и ранее ПБВ применяли для приготовления асфальтобетонных смесей типов А, Г и Д в соответствии с ГОСТ 9128-67, а также песчаного полимербитумоминерального материала.

ПБВ готовилось на асфальтобетонных заводах. Раствор блоксополимера бутадиена и стирола типа СБС марки ДСТ-30-01 в сольвенте, ксилоле, бензине, дизельном топливе готовился и подавался в битум, нагретый до температуры 90 - 110°С, где перемешивался до однородного состояния; затем ПБВ подавалось в асфальтосмеситель. Раствор полимера в дизельном топливе готовился и перекачивался при температуре 60 - 80°С.

Полимерасфальтобетонная смесь выпускалась при температуре 100 - 120°С и относилась к теплым смесям. Опытные работы показали, что полимерасфальтобетонные смеси с применением ПБВ сохраняли подвижность при транспортировании в течение длительного времени (до 7 ч) и отличались повышенной удобоукладываемостью. Смеси хорошо распределялись укладчиком при температуре 50 - 60°С и укатывались при температуре 30 - 40°С. При этом необходимое количество проходов катка уменьшалось, что позволяло повысить производительность работ. Опытные работы показали, что применение жидких ПБВ позволяет проводить строительные работы при температурах воздуха до минус 10°С. Это дает возможность продлить строительный сезон на 20 - 30%.

Полимерасфальтобетонные смеси, приготовленные с применением жидких ПБВ, являясь теплыми, удовлетворяют всем требованиям, предъявляемым к горячим битумоминеральным материалам, приготовленным на вязком битуме. При этом во всех случаях прочность образцов при 50°С выше, а при 0°С ниже, чем при применении исходного битума. Эти данные подтверждают результаты лабораторных исследований полимерасфальтобетона. Показатель глубины проникания иглы при 25°С жидких ПБВ был всегда более 300·0,1 мм, что позволяло не только снизить температуру нагрева материалов на АБЗ, но и улучшить обволакиваемость минерального материала, что в итоге дало возможность повысить производительность АБЗ на 20 - 25%, уменьшить расход вяжущего на 10 - 15% и снизить расход битума.

В результате обследования опытных участков дорожных покрытий из песчаных полимерасфальтобетонных смесей выяснилось, что сцепление с колесом автомобиля выше, чем на покрытиях, построенных из смесей с применением битума. Показатели сцепления, полученные на маятниковом приборе МП-3 на модельном покрытии с применением ПБВ, составляют 57 - 60, а с битумом - 45 - 47. При этом длина тормозного пути автомобиля ГАЗ-69А при скорости перед торможением 60 км/ч на покрытии из асфальтобетонной смеси типа Д составляет 15,1 м в случае применения ПБВ и 18,3 - битума. Высокий показатель сцепления сохраняется после эксплуатации покрытий в течение 2 - 3 лет. Повышенные фрикционные свойства обусловлены, по-видимому, резиноподобными свойствами покрытий с применением ПБВ, а, следовательно, повышением гистерезисных потерь при торможении.

Все участки дорог, построенные из смесей с применением ПБВ, после 3 - 6 лет эксплуатации находились в хорошем и удовлетворительном состоянии. На опытных участках, построенных на дорогах с тяжелым движением транспортных средств (интенсивность до 7 тыс. авт./сут), после 2 - 3 лет эксплуатации трещин на покрытиях, содержащих ПБВ, было в 2 - 3 раза меньше, по сравнению с покрытиями, построенными из смесей на основе исходного битума.

В мае 1972 г. Государственная комиссия Минтрансстроя СССР рекомендовала широкое применение ПБВ во всех климатических зонах. Союздорнии были подготовлены «Методические рекомендации по приготовлению и применению ПБВ на основе ДСТ», утверждены Минтрансстроем СССР и это вяжущее было включено в переработанные рекомендации по применению битумов в разных климатических зонах.

В 1973 г. начато внедрение ПБВ на объектах Минтрансстроя СССР в тресте «Юждорстрой» в двух его строительных управлениях (г. Усть-Лабинске и ст-це Каневской). В том же году начато внедрение ПБВ в тресте «Каздорстрой» (СУ-856). В тресте «Латавтодормост» было изготовлено оборудование для установки по приготовлению ПБВ.

В период с 1973 по 1987 гг. проводились работы по применению ПБВ при строительстве и ремонте дорожных, мостовых и аэродромных покрытий, в частности покрытий ВПП ряда аэропортов (г.г. Сарманова, Усинска, Нефтеюганска, Нижневартовска, Ноябрьска, Рощина), покрытий на ортотропной плите пролетного строения вантового моста «Северный» через р. Днепр (г. Киев, 1976 г., СУ-849 «Киевдорстроя»), Состояние последнего до настоящего времени удовлетворительное, сдвигов, волн, наплывов, температурных трещин нет. Первый текущий ремонт был осуществлен после 11 лет эксплуатации: одиночная поверхностная обработка. Через несколько лет на аналогичном мосту «Южном» через р. Днепр в г. Киеве уложено покрытие из обычной асфальтобетонной смеси, которое полностью разрушилось через 3 года эксплуатации и было заменено на отдельных участках из-за образования колей, сдвигов и многочисленных трещин. Покрытие на мосту, построенное из смесей с применением ПБВ, эксплуатируется до настоящего времени, т.е. более 25 лет.*

* По данным Украинского транспортного университета (Примеч. авторов).

На аэродроме г. Усинска силами треста «Пермдорстрой» в 1978 и 1979 гг. построено полимерасфальтобетонное покрытие на ВПП и РД толщиной слоя 9 см (в два раза меньше проектной) на плитах ПАГ-14. Трещины появились над швами расширения через 24 и 18 м через год эксплуатации (минимальная температура воздуха в этом районе - минус 60°С). Покрытие эксплуатируется до настоящего времени (более 20 лет).

К 1990 г. в соответствии с Народнохозяйственной программой 0.55.11 было намечено строительство более 3000 км покрытий из полимерасфальтобетонной смеси с применением ПБВ на основе блоксополимера типа СБС марки ДСТ-30-01 на объектах Минтрансстроя СССР и Минавтодоров РСФСР, Молдавии, Казахстана, Азербайджана, Армении и Министерства гражданской авиации. К сожалению, по ряду причин эту программу реализовать не удалось.

Можно считать, что внедрение ПБВ на основе СБС, где в качестве пластификатора использовались индустриальные масла, начато в 1995 г. благодаря технической политике, проводимой Федеральной дорожной службой России. Так, 31.01.95 вышел приказ № 9 «О повышении качества выпускаемых асфальтобетонных смесей дорожно-строительными организациями Российской Федерации» за подписью руководителя А.П. Насонова, а 31.08.95 - приказ № 116 «О производстве и применении модифицированных битумов», предписывающие производство и внедрение этих вяжущих на федеральных автомобильных дорогах, за подписью генерального директора Федерального дорожного департамента Минтранса России А.П. Насонова. В связи с этим было подготовлено изменение № 4 в СНиП 2.05.02-85 «Автомобильные дороги» к пункту 7.34: «Для обеспечения повышенной трещиностойкости и продления срока службы асфальтобетонных покрытий при условии низких отрицательных температур в районе строительства следует применять полимерасфальтобетоны с использованием полимернобитумных вяжущих (ПБВ) на основе блоксополимеров бутадиена и стирола типа СБС (марок ДСТ-30-01 и ДСТ-30Р-01, а также их зарубежных аналогов) с требуемой для данного района строительства температурой хрупкости», которое было введено в действие постановлением Минстроя России от 08.06.95 № 18-57. Заместитель министра Минтранса России О.В. Скворцов распоряжением от 11.07.2001 № 220-р обязал при строительстве, реконструкции и ремонте автомобильных дорог I и II категорий предусматривать в верхних слоях дорожных одежд применение ПБВ на основе СБС в соответствии с ОСТ 218.010-98.

ОСТ 218.010-98 «Вяжущие полимерно-битумные дорожные на основе блоксополимеров типа СБС» был разработан Союздорнии по заданию Федерального дорожного департамента.

А.П. Насонов 25 января 1995 г. утвердил «Программу внедрения комплексных, в том числе полимерно-битумных вяжущих на основе блоксополимеров бутадиена и стирола типа СБС, в подразделениях Нижегородавтодора», разработанную Союздорнии совместно с Нижегородавтодором. Программа предусматривала организацию производства ПБВ на битумной базе Нижегородавтодора. Под руководством А.Д. Герасименко при активном участии О.И. Холина и Н.В. Агеева был построен и запущен в 1996 г. цех по производству ПБВ на основе СБС с использованием оборудования фирмы MASSENZA. К настоящему времени на этой установке выпущено более 6000 т ПБВ марок ПБВ 90 и ПБВ 130, с использованием которого построено около 140 км полимерасфальтобетонных покрытий в ближайших к данной базе регионах.

К настоящему моменту Программа выполнена и на основе проведенных исследований Союздорнии подготовлено «Руководство по приготовлению и применению комплексных органических вяжущих, в том числе ПБВ, на основе СБС в дорожном строительстве».

В 1995 и 1996 гг. силами фирмы «Фэцит» построено несколько участков покрытия, уложенного на старое асфальтобетонное покрытие с большим количеством трещин, на автомобильной дороге Новосибирск - Ленинск-Кузнецкий - Кемерово - Юрга с применением ПБВ 200. Минимальная зимняя температура в этом районе доходила до минус 42°С, а температура хрупкости ПБВ по Фраасу была минус 36°С. Обследование покрытий показало, что количество трещин после двух лет эксплуатации на полимерасфальтобетонном покрытии в 8 раз меньше, чем на асфальтобетонном с применением битума марки БНД 90/130.

В 1997 г. в Красноярском крае на автомобильной дороге «Байкал» построено по 5 км покрытия на щебеночном основании из полимерасфальтобетонной смеси с использованием ПБВ на основе ДСТ марки ПБВ 200 и битума БНД 90/130. В процессе обследования покрытия после его эксплуатации зимой при температуре до минус 43 °С установлено, что на 3 км полимерасфальтобетонного покрытия отсутствуют трещины, на 2 км трещины расположены через 100 - 250 м; на асфальтобетонном покрытии на всех 5 км появились трещины через 20 - 40 м.

При строительстве верхнего слоя покрытия из полимерасфальтобетонной смеси и устройстве поверхностных обработок с применением ПБВ на автомобильной дороге Воронеж - Ростов-на-Дону отмечены хорошая укладываемость и уплотняемость смеси. Для проведения строительных работ на автомобильной дороге Воронеж - Ростов-на-Дону было приготовлено 350 т ПБВ, более 2 тыс. т полимерасфальтобетонных смесей; выполнено около 7 км поверхностных обработок.

В 1995 г. начата реконструкция Московской кольцевой автомобильной дороги (МКАД). В проекте реконструкции, разработанном Союздорпроектом, при строительстве верхнего слоя покрытия по предложению Союздорнии предусмотрено использование смесей с применением вяжущего марки ПБВ 90/130 на основе СБС с добавлением индустриального масла марки И-40А в качестве пластификатора в соответствии с ТУ 35-1669-88 с изменением 4. Подбор состава ПБВ осуществлен Союздорнии в лаборатории органических вяжущих материалов, которая на протяжении всего периода работ на МКАД также контролировала качество и технологию изготовления ПБВ. Результаты испытаний показывают, что примененное при строительстве покрытий на МКАД ПБВ соответствовало требованиям ОСТ 218.010-98.

Монтаж оборудования и организация производства ПБВ в больших объемах для МКАД в течение 5 лет выполнены концерном «Космос» под руководством А.В. Чернякова. НПО «Космос» к настоящему времени выпущено более 50000 т ПБВ. Важно отметить, что несмотря на то, что поступающий на предприятия исходный битум относился к разным маркам с глубиной проникания иглы в пределах (50 - 150)·0,1 мм, выпускаемое ПБВ за счет корректировки состава относилось к марке ПБВ 90/130, причем по требованию Заказчика - производителя работ на МКАД - глубина проникания иглы ПБВ находилась в пределах (90 - 110)·0,1 мм.

Таким образом, Корпорация «Трансстрой» провела широкое внедрение полимерно-битумных вяжущих на основе блок-сополимеров типа СБС на очень ответственном объекте дорожного строительства в России - при реконструкции МКАД. При проведении этих работ установлено, что ПБВ обладают большей, чем битумы релаксирующей способностью, позволяют повысить не только деформативную способность полимерасфальтобетона при отрицательных температурах, но и морозостойкость.

Один из способов приготовления ПБВ заключается в предварительном изготовлении раствора полимера. Силами АО «Росдориндустрия» под руководством В.А. Лапшина и ТОО «АППОС-Асфальт» под руководством Е.И. Броницкого разработана необходимая техническая документация по организации отдельно стоящих баз по производству растворов блоксополимеров типа СБС в индустриальном масле. Созданы базы в г.г. Москве, Элисте, Саранске, Туле, Вышнем Волочке, Ельце, Асбесте, Ачинске.

Большие объемы работ по приготовлению и применению ПБВ выполнены федеральной Дирекцией автомобильной дороги Москва - Санкт-Петербург под руководством Н.И. Измоденова и В.Ф.Гришенкова при активном участии заведующего лабораторией Дирекции В.В. Грибова. Построено более 700 км поверхностных обработок и около 300 км полимерасфальтобетонных покрытий.

В последние годы на объектах Мособлавтодора построено более 500 км поверхностных обработок на основе ПБВ с использованием в качестве пластификатора гудрона. При этом, по сведениям заведующего лабораторией ГП «Лабрадор» Т.Б. Матвеенко, срок службы поверхностных обработок возрос более чем в 2 раза.

Восемь установок для приготовления ПБВ на основе СБС сконструированы, изготовлены и смонтированы силами ЦНКБ Миноборонпрома СССР и ОАО «Техпрогресс» в Москве, Московской и Тульской областях, в г.г. Ельце, Сургуте, Ангарске под руководством и при участии В.Ф. Степанова и С.Л. Токаревой.

В настоящее время на объектах Мособлавтодора работают установки для приготовления ПБВ в г.г. Егорьевске, Серебряные пруды, Луховицах, Орехово-Зуеве, Озерах, Домодедове, Талдоме, Чехове, Шатуре, пос. Шаховской.

Смонтированы и работают еще более 10 установок по приготовлению ПБВ в других городах России.

В 1995 г. по заданию Федерального дорожного департамента Союздорнии совместно с Ассоциацией «АСПОР» разработан проект «Программы по внедрению ПБВ на основе СБС дорожно-строительными организациями России». Во внедрении ПБВ на федеральных дорогах в России изъявили желание участвовать 48 дорожно-строительных организаций. За 5 лет предполагалось изготовить более 3000 тыс. т ПБВ, израсходовать для этой цели более 90 тыс. т блоксополимеров типа СБС и в результате построить более 70 тыс. км полимерасфальтобетонных покрытий. К сожалению, Программа не утверждена, по-видимому, из-за финансовых проблем.

Успешно использовалось ПБВ при строительстве покрытий в 1999 - 2000 гг. на автомобильной дороге МКАД - Кашира, в 2000 г. - при реконструкции подъезда к аэропорту «Шереметьево-2» и ремонте автомобильной дороги M1 «Беларусь».

В табл. 28 указаны объемы строительства покрытий и устройства поверхностных обработок, выполненных различными дорожно-строительными организациями России за период 1995 - 2000 гг., подтвержденные официальными документами.

Потребность в ПБВ смеси при строительстве 1 км покрытия, устройстве 1 км поверхностной обработки взята на основании данных, содержащихся в «Программе внедрения ПБВ на основе блоксополимеров бутадиена и стирола типа СБС дорожными организациями Российской Федерации», и составляет при строительстве верхнего слоя покрытия - 42 т, устройстве поверхностной обработки - 7 т, потребность в полимерасфальтобетонной смеси - 700 т.

За период 1995 - 2000 гг. включительно (см. табл. 28), по полученным данным, построено покрытий и устроено поверхностных обработок около 3000 км, приготовлено и уложено около 1,2 млн. т полимерасфальтобетонных смесей с использованием около 80 тыс. т ПБВ.

В 1995 - 1999 гг. при проведении работ по строительству покрытий с применением ПБВ Союздорнии проводил контроль качества ПБВ на стадии их изготовления в НПО «Космос», а также на асфальтобетонных заводах, где готовились полимерасфальтобетонные смеси для работ на МКАД (ЗАО «Бетас», АОЗТ «Дорасфальт» и ЗАО «Бетон-Сервис»).

В 2000 г. Союздорнии проверялось качество ПБВ, примененных для изготовления полимерасфальтобетойных смесей на АБЗ «AMMANN», в ООО «Техпрогресс-Т» (автомобильная дорога M1 «Беларусь») - на АБЗ «Астар» (автомобильная дорога МКАД - Кашира) и в ЗАО «Бетон-Сервис» (подъезд к аэропорту «Шереметьево-2»).

В 2001 г. ПБВ на основе СБС было применено при строительстве дорог в г.г. Перми и Смоленске и покрытия взлетно-посадочных полос в аэропорту г. Волгограда.

Для контроля однородности приготовляемых в НПО «Космос» ПБВ был разработан количественный метод определения однородности ПБВ, принцип которого заключается в определении массы остатка при пропускании ПБВ через сито № 07. Кроме того, было принято решение отпускать ПБВ потребителю через сито № 07.

Таблица 28

Внедрение полимерно-битумных вяжущих при строительстве дорожных покрытий и устройстве поверхностных обработок (ширина покрытия 7 м) за период 1995-2000 гг.

Наименование организаций (стройки)

Протяженность дорог, км, по годам

1995

1996

1997

1998

1999

2000

Всего за период 1995 - 2000 гг.

1

2

3

4

5

6

7

8

Строительство покрытий из полимерасфальтобетонной смеси

Московская кольцевая автомобильная дорога (МКАД)

71

64

161

205

257

-

758

Федеральная Дирекция автомобильной дороги «Москва - Санкт-Петербург»

12

33

96

61

66

30

298

Дирекция дорожного фонда Нижегородской области ОАО «Нижегородавтодор»

1

134

48

-

-

-

183

ОАО «Смоленскдорстрой»

-

-

-

-

-

67

67

МКАД - Кашира

-

-

-

-

60

100

160

Мособлдорстрой

78

-

-

-

-

-

78

Управление автомобильных дорог по Красноярскому краю

-

-

5

10

-

-

15

ГП Дормостстрой (г. Ижевск)

-

-

-

78

-

-

78

ТОО «Фэцит» (г. Кемерово)

8

2

-

-

-

-

10

Дорожно-строительное управление № 1 (г. Калуга)

7

-

-

-

-

-

7

СП «Асфальт-Бетон»

-

25

-

-

-

-

25

Итого:

Протяженность дорог, км

177

258

310

354

383

197

1679

ПБВ, тыс. т

7,4

10,8

13

14,9

16,1

8,3

70,5

Полимерасфальтобетонные смеси, тыс. т

124

180

217

248

268

138

1175

Устройство поверхностных обработок с применением ПБВ

Федеральная Дирекция автомобильной дороги «Москва - Санкт-Петербург»

95

169

170

305

-

-

739

Мособлдорстрой

74

82

76

82

88

98

500

Итого протяженность дорог, км

169

251

246

387

88

98

1239

Расход ПБВ, тыс. т

1,2

1,8

1,7

2,7

0,6

0,7

8,7

Всего протяженность дорог с применением ПБВ для покрытий и поверхностных обработок, км

346

508

556

742

471

295

2918

Всего расход ПБВ, тыс. т

8,6

12,6

14,7

17,6

16,7

9,0

79,2

Для повышения сцепления ПБВ с кислыми минеральными материалами, применяющимися при строительстве покрытий на МКАД, было рекомендовано введение в вяжущие адгезионной добавки «Iterlene IN/400 R», выпускаемой итальянской фирмой Iterchimica.

Для введения адгезионной добавки в ПБВ Союздорнии совместно с НПО «Космос» разработан технологический регламент.

В табл. 29 приведены средние арифметические значения показателей физико-механических свойств образцов ПБВ, отобранных от партий вяжущих, поступивших для устройства покрытий на МКАД (1995 - 1999 гг.), а также при работах на автомобильных дорогах МКАД - Кашира (1999 - 2000 гг.), М1 «Беларусь» (2000 г.) и устройстве подъезда к аэропорту «Шереметьево-2».

Анализ данных, приведенных в табл. 29, свидетельствует о том, что средние арифметические значения показателей физико-механических свойств образцов ПБВ, отобранных из партий вяжущих, поступивших для приготовления полимерасфальтобетонных смесей, уложенных за период 1995 - 1999 гг. при устройстве покрытий на МКАД, в 1999 - 2000 гг. при работах на автомобильной дороге МКАД - Кашира и в 2000 г. при устройстве покрытия на подъезде к аэропорту «Шереметьево-2», удовлетворяли требованиям ОСТ 218.010-98 и проекта ГОСТ Р «Вяжущие полимерно-битумные дорожные на основе блоксополимеров типа стирол-бутадиен-стирол. Технические условия».

Приведенные данные также свидетельствуют о том, что средние арифметические величины показателей температуры размягчения, глубины проникания иглы при 0°С и растяжимости при 25°С и 0°С превышают минимальные нормы, установленные ОСТ 218.010-98 и проектом ГОСТ Р в 1,21; 1,3; 2 и 2,6 раза соответственно.


Таблица 29

Средние арифметические значения показателей физико-механических свойств полимерно-битумных вяжущих, примененных при приготовлении полимерасфальтобетонных смесей

Объект строительства

Год применения

Количество образцов

Наименование показателей

Глубина проникания иглы, 0,1 мм, при температурах

Растяжимость, см, при температурах

Температура, °С

Эластичность, %, при температурах

Интервал работоспособности, °С

Однородность

25°С

0°С

25°С

0°С

размягчения

хрупкости

25°С

0°С

 

 

1

2

3

4

5

6

7

8

9

10

11

12

13

МКАД

1995

55

109

51,7

59,1

34,5

60,5

-25,7

94,6

87,8

86,2

Однородно

1996

106

120,2

66,4

42,8

31,1

60,7

-26,7

96,1

75,6

87,4

То же

1997

255

97,1

53,2

63,5

45,4

62,6

-26,0

94,6

77,6

88,6

-"-

1998

256

98,4

50,6

68,3

42,3

61,6

-25,6

96,7

78,0

87,2

-"-

1999

163

100,7

51,7

55,3

31,3

62,6

-25,5

95,4

76,3

88,1

-"-

Всего

1995-1999

835

101,9

53,7

60,4

39,2

61,9

-25,8

95,6

77,9

87,7

-"-

Автомобильная дорога МКАД - Кашира

1999

5

95,4

46,8

82,6

33,8

60,6

-26,8

89,6

76,8

87,4

-"-

2000

10

109

48,4

60,9

28,1

52,0

-26,8

86,8

75,3

78,8

-"-

Всего

1999-2000

15

104,5

47,9

68,1

30

54,9

-26,8

87,7

75,8

80,7

-"-

Подъезд к аэропорту «Шереметьево-2»

2000

8

102,4

48,8

76,4

31,4

57,9

-25,8

86,6

75,1

83,7

-"-

Автомобильная дорога M1 «Беларусь»

2000

22

83,3

34,3

73,5

36,6

58,7

-21,9

89,9

72,9

80,6

-"-

Всего по объектам: МКАД, подъезд к аэропорту «Шереметьево-2», автомобильная дорога МКАД - Кашира

1995-2000

858

101,9

53,1

60,7

39,0

61,7

-25,8

95,4

77,8

86,5

Однородно

Автомобильная дорога M1 «Беларусь»

2000

22

83,3

34,3

73,5

36,6

58,7

-21,9

89,9

72,9

80,6

То же

Требования ОСТ 218.010-98, проекта ГОСТ Р к маркам

 

Не менее

Не ниже

Не выше

Не менее

Не ниже

 

ПБВ90

90

40

30

15

51

-25

85

75

76

-"-

ПБВ60

 

60

32

25

11

54

-20

80

70

64

-"-

 


Кроме того, сравнение глубины проникания иглы при 25°С и 0°С битумов, примененных для изготовления ПБВ в период с мая по октябрь 1998 г., и готовых ПБВ свидетельствует о том, что глубина проникания иглы при 25°С исходных битумов изменяется на 41%, а ПБВ - только на 22% соответственно; при 0°С изменение этого показателя составило для битума 66%, для ПБВ - 29%.Это свидетельствует о том, что ПБВ более однородное вяжущее, чем битум, а следовательно, и смеси на их основе, что положительно влияет на качество покрытий.

ПБВ на основе СБС могут быть использованы также в качестве гидроизоляций и герметиков в дорожном, мостовом, аэродромном и промышленном строительстве, в качестве вяжущих для литых, дренирующих, складируемых полимерасфальтобетонов, для тонкослойных покрытий, трещинопрерывающих прослоек, в качестве регенератора для старого асфальтобетона, для рулонных и безрулонных кровель.

С целью контроля за применением ПБВ в дорожном строительстве и их качеством, ФДС России издано Распоряжение от 04.08.99 № 819 «О повышении качества применяемых модифицированных битумов и асфальтобетонных смесей на их основе», подписанное Первым заместителем руководителя ФДС России Н.П. Серегиным, и Распоряжение по Минтрансу России от 11.07.2001 № 220-р «О применении полимерно-битумных вяжущих (ПБВ) на основе блоксополимеров типа СБС», подписанное заместителем министра О.В. Скворцовым.

Эти Распоряжения предусматривают проверку технической документации на приготовление и применение ПБВ дорожно-строительными организациями ФДС России, контроль качества конечных и исходных продуктов, проверку их соответствия действующим стандартам и ОСТ 218.010-98, а также организацию контроля за применением в проектах строительства, реконструкции и ремонта автомобильных дорог I и II категорий в верхних слоях дорожных покрытий смесей на основе ПБВ согласно ОСТ 218.010-98 с учетом конкретных марок ПБВ.

Согласно этим Распоряжениям составы ПБВ должны быть согласованы с Центральной лабораторией контроля, диагностики и сертификации.

Опыт применения ПБВ позволяет сделать следующие выводы.

1. Показано, что полимерно-битумные вяжущие на основе блоксополимеров типа СБС применены в смесях при строительстве верхних слоев покрытий дорог, мостов, аэродромов и устройстве поверхностных обработок в различных дорожно-климатических зонах России общей протяженностью около 3000 км. Доказана целесообразность расширения области применения ПБВ на территориальных дорогах.

2. Установлено, что испытанные в Союздорнии 880 образцов ПБВ, отобранных на установках по приготовлению ПБВ и на АБЗ, где готовились полимерасфальтобетонные смеси для укладки в верхние слои покрытий, отвечали, как правило, требованиям ОСТ 218.010-98 и проекта ГОСТ Р «Вяжущие полимерно-битумные дорожные на основе блоксополимеров типа стирол-бутадиен-стирол. Технические условия».

3. При проведении обследований состояния покрытий, построенных из смесей с применением ПБВ на автомобильных дорогах, мостах и аэродромах, установлено повышение их долговечности в 1,5 - 3 раза по сравнению с применением битумов. Срок службы поверхностных обработок, устроенных с применением ПБВ, возрос в 2 - 2,5 раза по сравнению с использованием битумов.

4. К настоящему времени в соответствии с технической политикой Росавтодора Министерства транспорта Российской Федерации в нашей стране освоена технология приготовления ПБВ на основе блоксополимеров типа СБС для устройства полимерасфальтобетонных покрытий на федеральных дорогах I и II категорий.

5. Созданы мощности по производству ПБВ на базе Нижегородавтодора, ЦНКБ Миноборонпрома СССР, ОАО «Техпрогресс», НПО «Космос» и ОАО «АППОС», способные обеспечить потребности дорожной отрасли до 500 тыс. т ПБВ в год. Произведенные на имеющихся установках ПБВ на основе СБС с пластификатором - индустриальным маслом и гудроном - применялись при устройстве покрытий и поверхностных обработок на важнейших автомагистралях страны: МКАД, «Дон», «Беларусь», «Крым», на автомобильной дороге Москва - Санкт-Петербург, дорогах Московской области, Краснодарского и Красноярского краев с положительным результатом.

6. Освоено промышленное производство отечественных полимеров типа СБС, не уступающих импортным аналогам, на АО «Воронежсинтезкаучук».

12. СОПОСТАВЛЕНИЕ ТРЕБОВАНИЙ К ПБВ В РОССИИ И ДРУГИХ СТРАНАХ

В табл. 30 приведены сопоставительные данные показателей качества ПБВ, регламентированных стандартами ведущих европейских стран и действующим ОСТ 218.010-98.

Как видно из приведенных данных, предлагаемые ПБВ находятся на уровне мировых стандартов и вместе с тем отличаются явным преимуществом в части трещиностойкости, а также деформативности при низких температурах (см. показатели температуры хрупкости, глубины проникания иглы при 0°С, растяжимости и эластичности при 0°С), что вполне оправдано для России, территория которой на 85% характеризуется средними минимальными зимними температурами ниже минус 20°С, а температура наиболее холодных суток на 96% территории России ниже минус 25°С. При этом, в отличие от других стран, в России предъявляется требование к адгезии ПБВ.

Таблица 30

Технические требования к полимерно-битумным вяжущим

Марка ПБВ (страна)

Наименование показателей

Глубина проникания иглы, 0,1 мм, не менее, при температурах

Растяжимость, см, не менее, при температурах

Температура, °С

Изменение температуры размягчения после прогрева 163°С, 5 ч, 4 мм, не более

Сцепление выдерживает по контрольному образцу № с

Эластичность, %, не менее, при температурах

25°С

0°С

25°С

0°С

размягчения, не менее

хрупкости, не выше

вспышки, не менее

 

мрамо-ром

песком

25°С

0°С

1

2

3

4

5

6

7

8

9

10

11

12

13

ПБВ 300 (Россия)

>300

>90

30

25

45

-40

220

7

2

2

85

75

Карибит-ОВ (Дания)

240-320

-

-

-

35-41

-30

220

-

-

-

90

-

ПБВ 200 (Россия)

>200

>70

30

25

47

-35

220

7

2

2

85

75

130-230 (Австрия)

130-230

-

90 (13°С)

-

40

-20

230

7

-

-

70

-

ВМ-5 (Испания)

150-200

-

50 (5°С)

-

55

-20

200

-6 - +10

-

-

60

-

ПБВ 130 (Россия)

>130

>50

30

20

49

-30

220

6

2

2

85

75

Карибит Плас (Дания)

150-200

-

-

-

38-46

-20

220

-

-

-

80

-

Р В 80А (Германия)

>120

-

100 (7°С)

-

40-48

-20

200

6,5

-

-

50

-

50/130 (Бельгия)

50-130

-

35 (5°С)

-

-

-18

-

-

-

-

50

-

ПБВ 90 (Россия)

>90

>40

30

15

51

-25

220

6

2

2

85

75

Карибит-85 (Дания)

70-100

-

-

-

47-55

-15

220

-

-

-

70

-

90-140 (Австралия)

89-140

-

55 (13°С)

-

42

-18

240

-

-

-

70

-

ЕМ-4 (Испания)

80-130

-

40 (5°С)

-

60

-15

220

-6 - +10

-

-

60

-

Е-90 (Италия)

80-100

-

100

-

85-95

-20

 

-

-

 

100

-

ПБВ 60 (Россия)

>60

>32

25

11

54

-20

230

5

2

2

80

70

Карибит Плас 60 (Дания)

50-80

-

-

-

48-56

-15

220

-

-

-

50

-

50-90S (Австралия)

50-90

-

50

-

65

-19

250

-

-

-

80

-

ВМ-3 (Испания)

55-70

-

25 (5°С)

-

58-65

-10

235

-4 - +10

-

-

15-70

-

Р В65А (Германия)

>50

-

100 (13°С)

-

48-55

-15

-

6,5

-

-

50

-

50-85 (Бельгия)

50-85

-

10 (5°С)

-

-

-10

-

-

-

-

25

-

Е-55 (Италия)

50-70

-

100

-

50-60

-14

-

-

-

-

70

60 (10°С)

Примечание. В скобках указаны фактические температуры, при которых проводились испытания в данной стране.

Что касается абсолютного значения растяжимости при 25°С, то она ниже в связи с тем, что в нашей стране ПБВ приготавливаются на основе окисленных битумов, в отличие от остаточных, применяемых на Западе. При этом величина пластичности ПБВ при 25°С (относительное удлинение) составляет более 800%, т.е. обеспечивается с огромным запасом, как уже упоминалось в разделе 3.

Необходимо отметить, что показатель эластичности при температуре 25°С в Дании и Италии для некоторых марок полимерно-битумных вяжущих выше, чем для ПБВ на 5 - 15%, что, по данным авторов обзорной информации, достаточно просто может быть достигнуто путем увеличения содержания полимера в ПБВ, но должно осуществляться только при соответствующей практической необходимости, так как может приводить к ухудшению технологических свойств полимерасфальтобетонных смесей.

ЗАКЛЮЧЕНИЕ

Анализируя изложенный материал, можно с уверенностью констатировать, что в России разработан и начал применяться в промышленных масштабах органический вяжущий материал - полимерно-битумное вяжущее на основе блоксополимеров типа СБС (ПБВ).

ПБВ - трехкомпонентный материал, состоит из битума, полимера и пластификатора и, в зависимости от соотношения этих компонентов, характеризуется требуемой теплостойкостью, трещиностойкостью, эластичностью, пластичностью и вязкостью, необходимыми в России для любых климатических условий, эксплуатационных особенностей, применяемых материалов.

Учитывая особые климатические условия России, дорожные битумы практически непригодны для дорожного строительства в качестве вяжущего материала, а тем более для верхних слоев покрытия, так как они не обеспечивают требуемой трещиностойкости, эластичности, теплостойкости и адгезии.

ПБВ на основе СБС даже при высоком содержании полимера не ухудшают технологические свойства полимерасфальтобетонных смесей по сравнению с асфальтобетонными смесями на основе битумов, так как ПБВ содержат пластификатор.

Компоненты ПБВ - блоксополимер типа СБС и пластификатор - не ухудшают условия труда рабочих, экологию окружающей среды и условия пожарной безопасности по сравнению с битумами. Существующее оборудование и отработанные технологии по приготовлению смесей на основе битумов могут быть использованы при приготовлении смесей с применением ПБВ.

Приведенные результаты испытаний ПБВ позволяют сделать вывод, что тип дисперсной структуры исходного битума оказывает значительно большее влияние на качество ПБВ, чем марка исходного битума одного структурного типа.

Важно отметить, что ПБВ, отвечающие всему комплексу требований, регламентированных в ОСТ 218.010-98 и в проекте ГОСТ Р, могут быть получены на основе битумов любого структурного типа, в том числе и I, не удовлетворяющего требованиям ГОСТ 22245-90 на дорожные битумы.

Качество блоксополимеров типа СБС, представленных марками ДСТ-30-01, ДСТ-30Р-01, Кратон Д 1101, Кратон Д 1184, Кратон Д 1186, Финапрен 411, Финапрен 502, Европрен Сол Т 161 позволяют получить высококачественное ПБВ. При этом чем больше мольмасса и прочность полимера, меньше остаточное удлинение, тем больше теплостойкость и эластичность ПБВ; если выше относительное удлинение, то выше растяжимость ПБВ.

Показано, что использование гудрона (сырья для производства вязких дорожных битумов) в качестве пластификатора позволяет получить ПБВ с температурой хрупкости не ниже минус 22°С, т.е. марки ПБВ 60 и ПБВ 40.

Сопоставление свойств ПБВ и битумов показывает убедительные преимущества ПБВ в части трещиностойкости, теплостойкости, деформативности при низких температурах, эластичности.

В связи с тем, что ПБВ состоит из компонентов, различающихся по плотности, то при длительном хранении (более 8 ч) при высоких температурах (160°С) оно подвержено расслоению. При необходимости длительного хранения или транспортирования при температуре 160°С ПБВ следует перемешивать с периодичностью 2 - 3 ч.

В соответствии с технической политикой, осуществляемой Росавтодором Минтранса России, к настоящему времени построено и успешно эксплуатируется более 3000 км покрытий и поверхностных обработок с применением ПБВ на основе СБС.

Применение ПБВ взамен битумов позволяет повысить трещиностойкость покрытий дорог, мостов и аэродромов, продлить сроки их службы в 1,5 - 3 раза, а срок службы поверхностных обработок - в 2 - 3 раза.

Сопоставление нормативных требований ПБВ на основе СБС в соответствии с ОСТ 218.010-98 с зарубежными спецификациями на ПБВ показывает, что оно превосходит мировые аналоги в части трещиностойкости и деформативности при низких температурах, адгезии, что определяется климатическими условиями России: резком континентальным климатом, температурами наиболее холодных суток, достигающими минус 60°С, повышенной влажностью, большим числом переходов температуры через 0°С. При этом отечественные ПБВ отличаются меньшей стоимостью, чем зарубежные, так как содержат минимально необходимое количество полимера и пластификатора. Последнее имеет немаловажное значение для России.

Учитывая трехкомпонентный состав ПБВ, можно, используя те же компоненты за счет изменения их соотношения, получать вяжущие для приготовления литых, дренирующих, полимерно-щебнемастичных, холодных, складируемых полимерасфальтобетонных смесей; покрытий, устраиваемых тонкими и очень тонкими слоями; поверхностных обработок для асфальтобетонных и цементобетонных покрытий; трещинопрерывающих прослоек, мембран, кровельных материалов, герметизирующих и гидроизоляционных материалов.

Однако не следует считать, что применение ПБВ на основе СБС в верхних слоях покрытий, решая проблему ликвидации или резкого уменьшения температурных трещин, одновременно исключит образование отраженных трещин. Для того, чтобы ликвидировать или резко уменьшить образование любых трещин на покрытии, необходимо комплексное решение. А именно: верхние слои покрытия необходимо устраивать из полимерасфальтобетонных смесей, используя ПБВ на основе СБС согласно ОСТ 218.010-98, с температурой хрупкости, равной минимальной температуре наиболее холодных суток района эксплуатации покрытия, а в качестве подгрунтовки по всей площади трещиноватого слоя основания или основания с искусственно нарезанными швами применять ПБВ специального состава с температурой хрупкости, равной или более низкой, чем для ПБВ верхнего слоя с эластичностью при 0°С не менее 70%. Подгрунтовка в этом случае будет выполнять роль трещинопрерывающей прослойки и склеивать конструктивные слои. Технология устройства такой прослойки и ее теплостойкость должны быть такими, чтобы после укладки горячих полимерасфальтобетонных смесей сохранить ее минимальную толщину - не менее 1 - 2 мм.

Благодаря прогрессивной технической политике Росавтодора Минтранса России и Правительства РФ, подготовлен и находится в стадии утверждения ГОСТ Р «Вяжущие полимерно-битумные дорожные на основе блоксополимеров типа стирол-бутадиен-стирол. Технические условия», представленный ТК 418 «Дорожное хозяйство» в Госстандарт России.

СПИСОК ЛИТЕРАТУРЫ
ДЛЯ ПОЛУЧЕНИЯ ДОПОЛНИТЕЛЬНОЙ ИНФОРМАЦИИ
ПО РАССМАТРИВАЕМОМУ ВОПРОСУ

1. Колбановская А.С., Михайлов В.В. Дорожные битумы. - М.: Транспорт, 1973.

2. Гохман Л.М. Полимерно-битумное вяжущее в дорожном строительстве // Минеральные и вяжущие материалы, применяемые для покрытий автомоб. дорог: Экспресс-информ. / ЦБНТИ М-ва стр-ва и эксплуатации автомоб. дорог РСФСР. - 1974. - Вып. 2.

3. Гохман Л.М. Выбор оптимального типа дивинилстирольного термоэластопласта для приготовления полимерно-битумного вяжущего. – М., 1971. - (Тр. / Союздорнии; Вып. 44).

4. Гохман Л.М. Регулирование процессов структурообразования и свойств дорожных битумов добавками дивинилстирольных термоэластопластов: Автореф. дисс. канд. техн. наук. - М., 1974.

5. Гохман Л.М., Давыдова К.И. Влияние вязкости битумов на свойства полимерно-битумных вяжущих. - М., 1977. - (Тр. / Союздорнии; Вып. 100).

6. Гохман Л.М. Полимерно-битумное вяжущее с применением дивинилстирольных термоэластопластов. - М., 1971. - (Тр. / Союздорнии; Вып. 50).

7. Гохман Л.М. Структура полимерно-битумных композиций на основе ДСТ в зависимости от типа дисперсных структур битумов. - М., 1975. - (Тр. / Союздорнии; Вып. 80).

8. Басурманова И.В., Гохман Л.М., Капанадзе И.И. Особенности работы покрытия из асфальтобетонной смеси с применением ПБВ на бетонном основании при отрицательной температуре // Вопросы проектирования дорожных одежд со сборными и монолитными цементобетонными покрытиями. - М., 1983. - (Тр. / Союздорнии).

9. Гохман Л.М., Золотарев В.А., Гезенцвей Л.Б. Исследование деформационной устойчивости асфальтобетона с применением ПБВ (на основе ДСТ) в статическом и динамическом режимах деформирования. - М., 1977. - (Тр. / Союздорнии; Вып. 89).

10. Комплексные органические вяжущие на основе ПАВ и полимеров / Л.М. Гохман, Е.М. Гурарий, Д.С. Шемонаева, К.И. Давыдова // Полимерные материалы в строительстве покрытий автомобильных дорог. - М., 1981. - (Тр. / Союздорнии).

11. Исследование комплексных органических вяжущих материалов на основе побочных продуктов переработки нефти / Л.М. Гохман, Е.М. Гурарий, Д.С. Шемонаева, К.И. Давыдова // Пути экономии материальных и энергетических ресурсов при строительстве асфальтобетонных покрытий. - М., 1983. - (Тр. / Союздорнии).

12. Гуреев А.А., Гохман Л.М., Гилязетдинов Л.П. Технология органических вяжущих материалов: Учеб. пособие МИНГ им. И.М. Губкина. - М., 1986.

13. Гохман Л.М. О роли органических вяжущих материалов в обеспечении работоспособности асфальтобетона // Автомоб. дороги.- 1987. - № 7.

14. Гохман Л.М. Улучшение рабочих характеристик дорожных битумов. - М., 1990.

15. Гохман Л.М. Теоретические основы строения битумов и других органических вяжущих материалов // Химия и технология топлив и масел. - 1993. - № 3.

16. Колбановская А.С., Гохман Л.М. Новый битумоминеральный материал для дорожного строительства // Автомоб. дороги. - 1971. - №11.

17. Гохман Л.М. Влияние добавок дивинилстирольного блоксополимера на свойства битума. - В кн.: Материалы второй научно-технической конференции по вопросам дорожного строительства. - Алма-Ата, 1971.

18. Колбановская А.С, Гохман Л.М., Давыдова К.И. Регулирование процессов структурообразования нефтяных битумов добавками дивинилстирольного термоэластопласта // Коллоидный журнал АН СССР. - 1972. - Т. XXXIV. - № 4.

19. Колбановская А.С, Гохман Л.М., Давыдова К.И. Полимерно-битумное вяжущее на основе дивинил-стирольных термоэластопластов для асфальтового бетона // Труды координационных совещаний по гидротехнике. - Л.: Энергия, 1972. - (Сб. /ВНИИГ; Вып. 74).

20. Гезенцвей Л.Б. Слепая Б.М., Гохман Л.М. Улучшение фрикционных свойств асфальтобетонных покрытий // Автомоб. дороги. - 1973. - № 11.

21. Применение полимерных материалов в асфальтобетоне / Л.М. Гохман, Г.Я. Маркина, Ю.Н. Питецкий, Б.М. Слепая // Пути совершенствования исслед. и стр-ва черных покрытий автомоб. дорог: Краткие тезисы докл. и сообщ. к предстоящей науч.-техн. конф. / М-во автомоб. дорог Казахской ССР. - Алма-Ата, 1973.

22. А.с. 272881 (СССР), МКИ6 80 В, 25/06. Способ повышения физико-механических свойств дорожного битума / Л.М. Гохман, А.С. Колбановская, В.В. Михайлов и др.; Союздорнии. - № 1306623/29-33; Заявл. 25.02.69; Опубл. 02.09.70, БИ № 19.

23. Гохман Л.М., Капанадзе И.И. Складируемый асфальтобетон на вязких вяжущих // Автомоб. дороги. - 1986. - № 5.

24. Плотникова И.А., Рвачева Э.М., Гохман Л.М. Поверхностная обработка повышенной прочности // Автомоб. дороги. - 1976. - № 1.

25. Гохман Л.М. Подбор состава полимерно-битумного вяжущего (ПБВ) // Автомоб. дороги. - 1995. - № 10-11.

26. Гохман Л.М. Органические вяжущие материалы с улучшенными свойствами для дорожного строительства // Сб. научн. тр. «70 лет отраслевой дорожной науке». - М.: Изд. фирма «Крук», 1996.

27. Гохман Л.М., Гурарий Е.М., Амосова Н.В. Сопоставительные исследования французских и отечественных органических вяжущих материалов для дорожного строительства, проведенные в Союздорнии. - М., 1997. - (Автомоб. дороги: Информ. сб. / Информавтодор; Вып. 10).

28. Гохман Л.М., Гершкохен С.Л. Хрупкость органических вяжущих после многократного растяжения при отрицательных температурах. - М., 1997. - (Автомоб. дороги: Информ. сб. / Информавтодор; Вып. 10).

29. Гохман Л.М. Исследование реологических свойств ПБВ при динамическом режиме нагружения в диапазоне эксплуатационных температур. - М., 1998. - (Автомоб. дороги: Информ. сб. / Информавтодор; Вып. 8).

30. Панькин С.В., Геймор В.Ф. Полимерно-битумное вяжущее - эффективный материал // Наука и техника в дор. отрасли. - 1998. - № 1.

31. Арутюнов B.C., Джаназян Э.С. Из опыта реконструкции МКАД // Наука и техника в дор. отрасли. - 1998. - № 1.

32. Создание технологического процесса и оборудования для производства полимерно-битумных вяжущих и исследование их физико-механических свойств / О.Н.Иванов, Д.С. Киселев, СЛ. Токарева, Э.А. Брянская // Применение полимерно-битумных вяжущих на основе блоксополимеров типа СБС. - М., 2001. - (Тр. / МАДИ-ТУ).

33. Гохман Л.М. Применение полимерно-битумных вяжущих в дорожном строительстве // Применение полимерно-битумных вяжущих на основе блоксополимеров типа СБС. - М., 2001. - (Тр. / МАДИ-ТУ).

34. Броницкий Е.И. Производство полимерно-битумных вяжущих с использованием растворов блоксополимеров бутадиена и стирола типа СБС // Применение полимерно-битумных вяжущих на основе блоксополимеров типа СБС. - М., 2001. - (Тр. / МАДИ-ТУ).

35. Степанов В.Ф. Из опыта производства полимерно-битумных вяжущих (ПБВ) // Применение полимерно-битумных вяжущих на основе блоксополимеров типа СБС. - М., 2001. - (Тр. / МАДИ-ТУ).

36. Разработка методов и лабораторного оборудования для подбора рецептур и отработки составов полимерно-битумных вяжущих / О.Н. Иванов, Д.С. Киселев, С.Л. Токарева, Э.А. Брянская // Применение полимерно-битумных вяжущих на основе блоксополимеров типа СБС. - М., 2001. - (Тр. / МАДИ-ТУ).

37. Полякова С.В. Применение модифицированных битумов в дорожном строительстве // Применение полимерно-битумных вяжущих на основе блоксополимеров типа СБС. - М., 2001. - (Тр. / МАДИ-ТУ).

38. Гришенков В.Ф., Грибов В.В. Пути развития производства и применения модифицированных битумов на автодорогах, обслуживаемых федеральной дирекцией автодороги «Москва - Санкт-Петербург» // Применение полимерно-битумных вяжущих на основе блоксополимеров типа СБС. - М., 2001. - (Тр. / МАДИ-ТУ).

39. Leonid M. Gokhman. Theoretical principles of the bitumen structure and the role of asphaltenes (based on reoloqicalmetode): Chapter 8 in book «Asphalteus and Asphalts 2». Development in Petroleum Science, 40B. - Elsevier, Amsterdam, Lausanne, New-York-Oxford-Shannon-Singapore-Tokyo Edited by The Fu Yen and Georqe Y. Chilinqarian, 2000.

40. Пат. 2162867 РФ, МПК7 С 08 L 95/00, 53/02. Способ получения битумных вяжущих для дорожных покрытий / С.В. Полякова, В.И. Полякова, Ю.Б. Кобылко и др. - № 98113097; Заявл. 30.06.98; Опубл. 2001, Бюл. № 4.

41. А.с. 1768550 (СССР), МКИ С 04 В 26/26. Способ приготовления асфальтобетонной смеси/ В.И. Полякова, Ш.А. Исламов, М.Р. Шаутенов и др.; Каз. фил. Союздорнии. - Заявл. 14.05.90; Опубл. 15.10.92, Бюл. № 38.

 

 




ГОСТЫ, СТРОИТЕЛЬНЫЕ и ТЕХНИЧЕСКИЕ НОРМАТИВЫ.
Некоммерческая онлайн система, содержащая все Российские Госты, национальные Стандарты и нормативы.
В Системе содержится более 150000 файлов нормативно-технической документации, действующей на территории РФ.
Система предназначена для широкого круга инженерно-технических специалистов.

Рейтинг@Mail.ru Яндекс цитирования

Copyright © www.gostrf.com, 2008 - 2025